Advanced Search+
Jianhua ZHONG, Jiabao GUAN, Lanxin LIU, Guoxing XIA, Jike WANG, Yuancun NIE. Simulation of laser plasma wakefield acceleration with external injection based on Bayesian optimizationJ. Plasma Science and Technology, 2025, 27(4): 044003. DOI: 10.1088/2058-6272/ad91e8
Citation: Jianhua ZHONG, Jiabao GUAN, Lanxin LIU, Guoxing XIA, Jike WANG, Yuancun NIE. Simulation of laser plasma wakefield acceleration with external injection based on Bayesian optimizationJ. Plasma Science and Technology, 2025, 27(4): 044003. DOI: 10.1088/2058-6272/ad91e8

Simulation of laser plasma wakefield acceleration with external injection based on Bayesian optimization

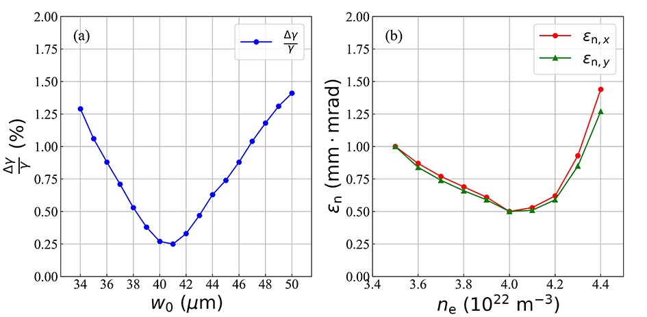
  • In laser wakefield acceleration, injecting an external electron beam at a certain energy is a promising approach for achieving a high-quality electron beam with low energy spread and low emittance. In this paper, the process of laser wakefield acceleration with an external injection at 10 pC has been studied in simulations. A Bayesian optimization method is used to optimize the key laser and plasma parameters so that the electron beam is accelerated to the expected energy with a small emittance and energy spread growth. The effect of the rising edge of the plasma on the transverse properties of the electron beam is simulated and optimized in order to ensure that the external electron beam is injected into the plasma without significant emittance growth. Finally, a high-quality electron beam with an energy of 1.5 GeV, a normalized transverse emittance of 0.5 mm·mrad and a relative energy spread of 0.5% at 10 pC is obtained.
  • loading

Catalog

    Turn off MathJax
    Article Contents

    /

    DownLoad:  Full-Size Img  PowerPoint
    Return
    Return