Advanced Search+
Fuqiong WANG, Xiang GU, Jiankun HUA, Yumin WANG, Xiaokun BO, Bo CHEN, Yuejiang SHI, Shuai XU, Erhui WANG, Yunfeng LIANG, the EHL-2 Team. Divertor heat flux challenge and mitigation in the EHL-2 spherical torusJ. Plasma Science and Technology, 2025, 27(2): 024009. DOI: 10.1088/2058-6272/adadb8
Citation: Fuqiong WANG, Xiang GU, Jiankun HUA, Yumin WANG, Xiaokun BO, Bo CHEN, Yuejiang SHI, Shuai XU, Erhui WANG, Yunfeng LIANG, the EHL-2 Team. Divertor heat flux challenge and mitigation in the EHL-2 spherical torusJ. Plasma Science and Technology, 2025, 27(2): 024009. DOI: 10.1088/2058-6272/adadb8

Divertor heat flux challenge and mitigation in the EHL-2 spherical torus

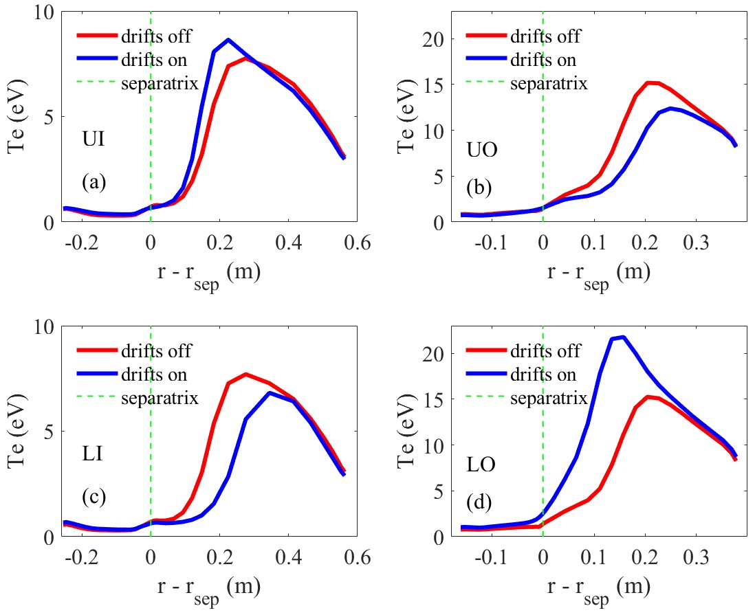
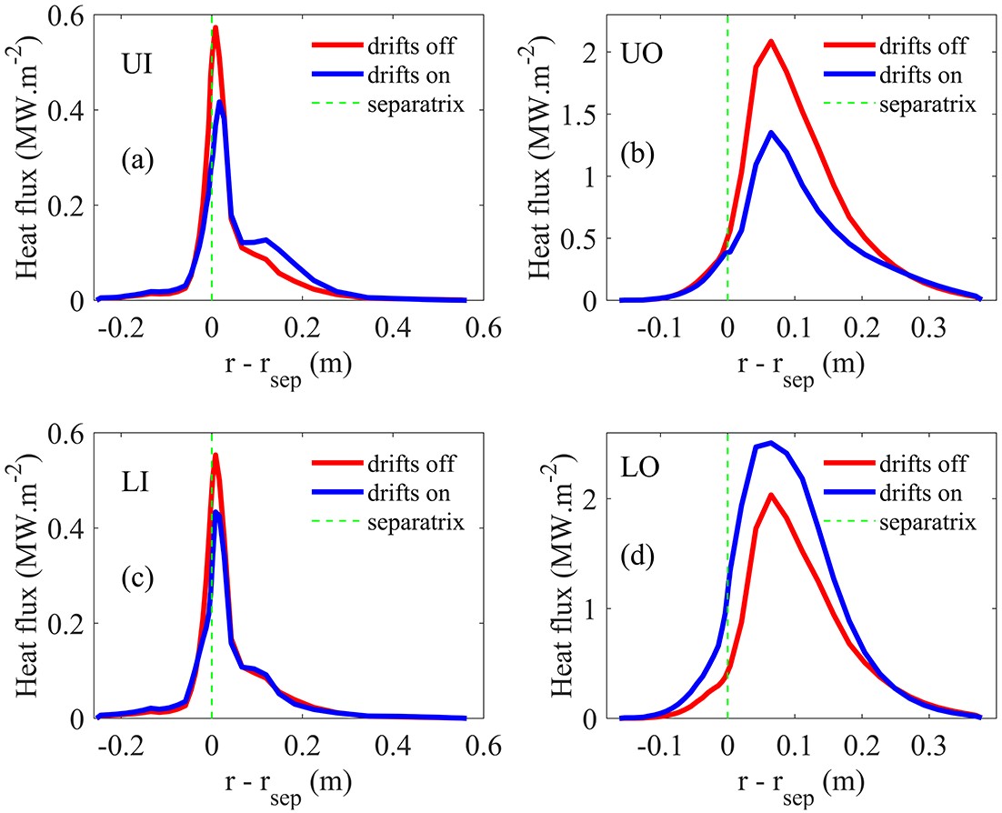
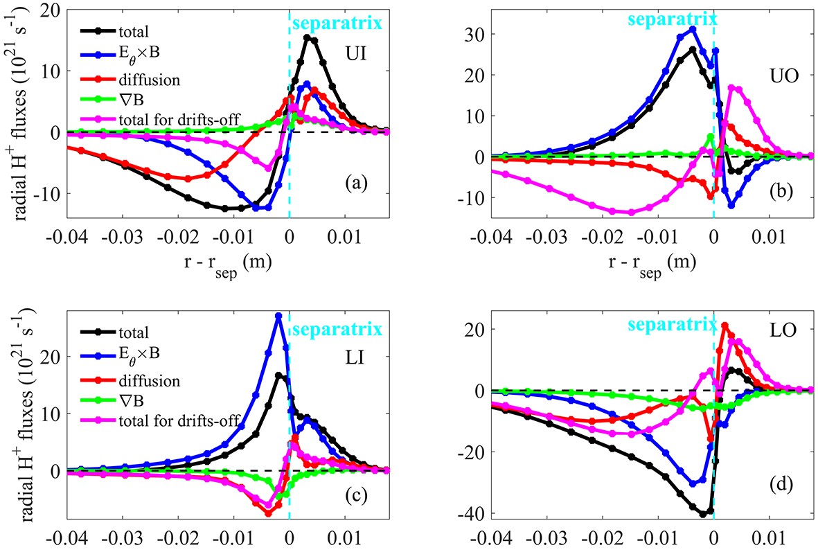
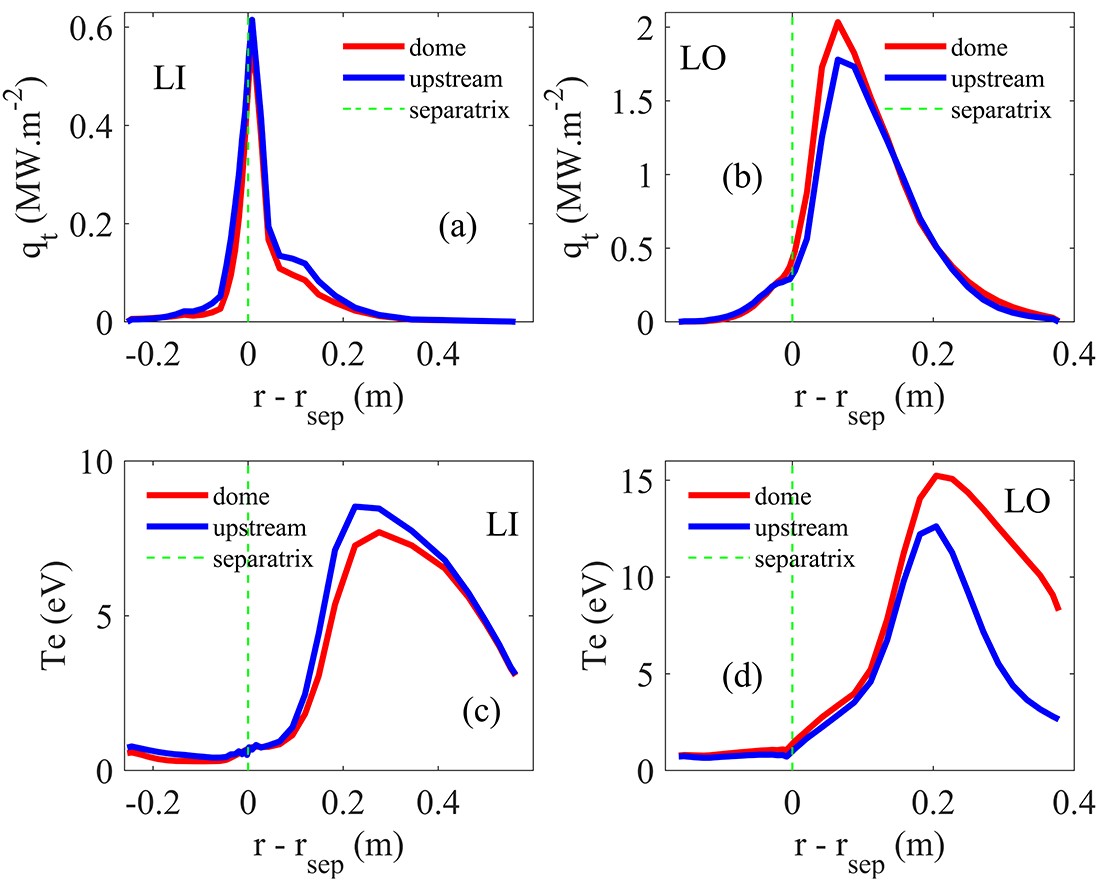
  • The divertor design is critical to heat load handling and thus to achievements of high-performance plasma operations in the EHL-2 (ENN He-Long 2) tokamak. This paper presents the design of an X-point target (XPT) divertor, featuring a conventional inner divertor and an XPT outer divertor, aimed at the effective control of heat loads, which may be extremely high during high ion temperature scenarios. The divertor target plates are made from carbon-based materials, which can handle heat loads of up to 5 MW/m². Divertor performances, including the heat load controllability, the onset of detachment and the in–out/up–down asymmetry, etc., are evaluated using both the simple particle-tracking strategy and the complicated SOLPS-ITER code. Special attention is paid to the drift effects on particle/heat transport in the divertor/scrape-off layer region and on the divertor heat loads, focusing on the semi-detached/detached operation regimes. Results from SOLPS-ITER simulations demonstrated that the currently designed magnetic equilibrium and divertor configuration can effectively handle the power heat load in EHL-2.
  • loading

Catalog

    Turn off MathJax
    Article Contents

    /

    DownLoad:  Full-Size Img  PowerPoint
    Return
    Return