Advanced Search+
Qifan ZHANG, Yiping HAN, Qinlu DONG, Chang DONG. Analysis of the influence of sheath positions, flight parameters and incident wave parameters on the wave propagation in plasma sheath[J]. Plasma Science and Technology, 2022, 24(3): 035003. DOI: 10.1088/2058-6272/ac2e53
Citation: Qifan ZHANG, Yiping HAN, Qinlu DONG, Chang DONG. Analysis of the influence of sheath positions, flight parameters and incident wave parameters on the wave propagation in plasma sheath[J]. Plasma Science and Technology, 2022, 24(3): 035003. DOI: 10.1088/2058-6272/ac2e53

Analysis of the influence of sheath positions, flight parameters and incident wave parameters on the wave propagation in plasma sheath

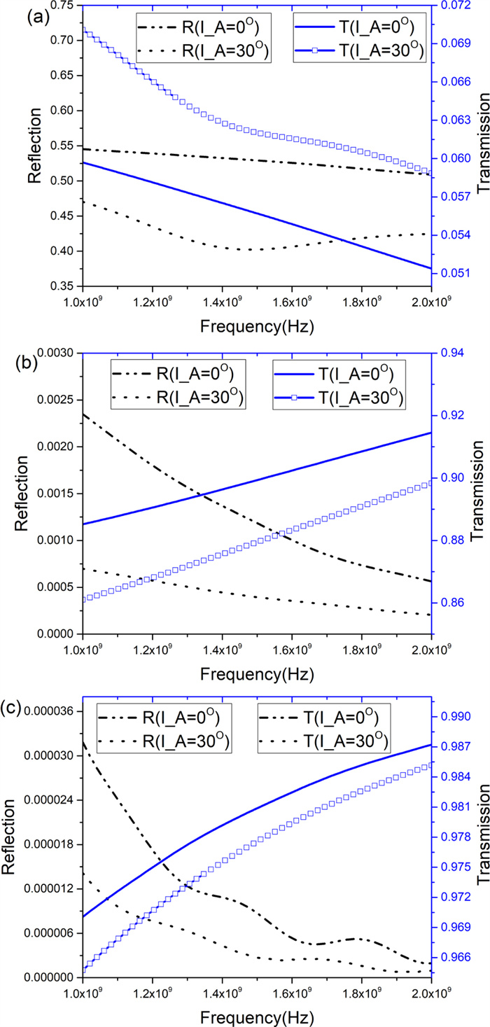
  • The plasma sheath covering hypersonic vehicles has a significant effect on the propagation of electromagnetic waves. Based on the calculation of the flow field of a conical cylindrical, this work studies the propagation of electromagnetic waves in plasma sheath at L-band and Ku-band, and discusses the propagation characteristics in the head, side and tail of the sheath. The dielectric properties of plasma sheath are related to flight speed and altitude. A flight condition corresponds to a unique distribution of dielectric properties. For the conical cylindrical, the results show that flight speed is generally negatively correlated with the transmissivity of the plasma sheath. The reflection characteristics of electromagnetic waves at the L-band and Ku-band when obliquely incident to the plasma sheath show a downward trend. When the frequency is increased to Ku-band, the propagation characteristics of electromagnetic waves in the plasma sheath are related to the position of the sheath.
  • loading

Catalog

    Turn off MathJax
    Article Contents

    /

    DownLoad:  Full-Size Img  PowerPoint
    Return
    Return