Advanced Search+
Chenxu WANG, Bo ZHANG, Sile CHEN, Yuhao SUN, Xiong YANG, Yanan PENG, Xingyu CHEN, Guanjun ZHANG. Surface modification of silicone rubber by CF4 radio frequency capacitively coupled plasma for improvement of flashover[J]. Plasma Science and Technology, 2022, 24(2): 025501. DOI: 10.1088/2058-6272/ac3e57
Citation: Chenxu WANG, Bo ZHANG, Sile CHEN, Yuhao SUN, Xiong YANG, Yanan PENG, Xingyu CHEN, Guanjun ZHANG. Surface modification of silicone rubber by CF4 radio frequency capacitively coupled plasma for improvement of flashover[J]. Plasma Science and Technology, 2022, 24(2): 025501. DOI: 10.1088/2058-6272/ac3e57

Surface modification of silicone rubber by CF4 radio frequency capacitively coupled plasma for improvement of flashover

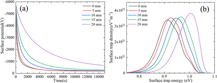
  • The flashover performance of insulating materials plays an important role in the development of high-voltage insulation systems. In this paper, silicone rubber (SIR) is modified by CF4 radio frequency capacitively coupled plasma (CCP) for the improvement of surface insulation performance. The discharge mode and active particles of CCP are diagnosed by the digital single-lens reflex and the spectrometer. Scanning electron microscopy and x-ray photoelectron spectroscopy are used for the surface physicochemical properties of samples, while the surface charge dissipation, charge accumulation measurement, and flashover test are applied for the surface electrical characteristics. Experimental results show that the fluorocarbon groups can be grafted and the surface roughness increases after plasma treatment. Besides, the surface charge dissipation is decelerated and the positive charge accumulation is inhibited obviously for the treated samples. Furthermore, the surface flashover voltage can be increased by 26.67% after 10 min of treatment. It is considered that strong electron affinity of C–F and increased surface roughness can contribute to deepening surface traps, which not only inhibits the development of secondary electron emission avalanche but also alleviates the surface charge accumulation and finally improves the surface flashover voltage of SIR.
  • loading

Catalog

    Turn off MathJax
    Article Contents

    /

    DownLoad:  Full-Size Img  PowerPoint
    Return
    Return