Advanced Search+
Aigerim TAZHEN, Merlan DOSBOLAYEV, Tlekkabul RAMAZANOV. Investigation of self-generated magnetic field and dynamics of a pulsed plasma flow[J]. Plasma Science and Technology, 2022, 24(5): 055403. DOI: 10.1088/2058-6272/ac5018
Citation: Aigerim TAZHEN, Merlan DOSBOLAYEV, Tlekkabul RAMAZANOV. Investigation of self-generated magnetic field and dynamics of a pulsed plasma flow[J]. Plasma Science and Technology, 2022, 24(5): 055403. DOI: 10.1088/2058-6272/ac5018

Investigation of self-generated magnetic field and dynamics of a pulsed plasma flow

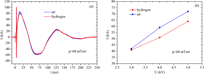
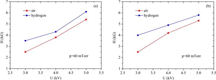
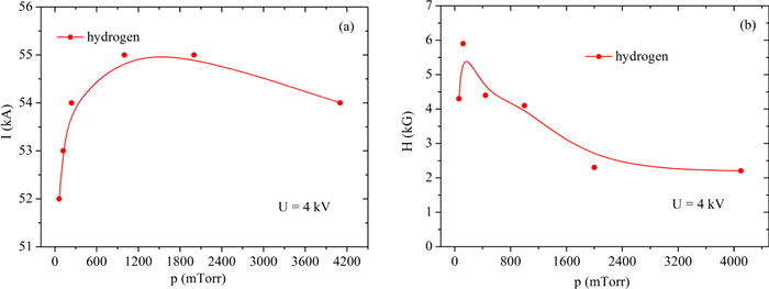
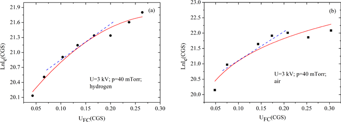
  • Due to the growing interest in studying the compression and disruption of the plasma filament in magnetic fusion devices and Z-pinches, this work may be important for new developments in the field of controlled thermonuclear fusion. Recently, on a coaxial plasma accelerator, we managed to obtain the relatively long-lived (~300 μs) plasma filaments with its self-magnetic field. This was achieved after modification of the experimental setup by using high-capacitive and low-inductive energy storage capacitor banks, as well as electrical cables with low reactive impedance. Furthermore, we were able to avoid the reverse reflection of the plasma flux from the end of the plasma accelerator by installing a special plasma-absorbing target. Thus, these constructive changes of the experimental setup allowed us to investigate the physical properties of the plasma filament by using the comprehensive diagnostics including Rogowski coil, magnetic probes, and Faraday cup. As a result, such important plasma parameters as density of ions and temperature of electrons in plasma flux, time dependent plasma filament's azimuthal magnetic field were measured in discharge gap and at a distance of 23.5 cm from the tip of the cathode. In addition, the current oscillograms and IV characteristics of the plasma accelerator were obtained. In the experiments, we also observed the charge separation during the acceleration of plasma flow via oscillograms of electron and ion beam currents.
  • loading

Catalog

    Turn off MathJax
    Article Contents

    /

    DownLoad:  Full-Size Img  PowerPoint
    Return
    Return