Advanced Search+
Xu LI, Shaohui JIN, Ke SONG, Lanlan NIE, Dawei LIU, Xinpei LU. Temporal electric field of a helium plasma jet by electric field induced second harmonic (E-FISH) method[J]. Plasma Science and Technology, 2023, 25(1): 015402. DOI: 10.1088/2058-6272/ac8419
Citation: Xu LI, Shaohui JIN, Ke SONG, Lanlan NIE, Dawei LIU, Xinpei LU. Temporal electric field of a helium plasma jet by electric field induced second harmonic (E-FISH) method[J]. Plasma Science and Technology, 2023, 25(1): 015402. DOI: 10.1088/2058-6272/ac8419

Temporal electric field of a helium plasma jet by electric field induced second harmonic (E-FISH) method

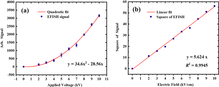
  • Electric field is an important parameter of plasma, which is related to electron temperature, electron density, excited species density, and so on. In this work, the electric field of an atmospheric pressure plasma jet is diagnosed by the electric field induced second harmonic (E-FISH) method, and the time-resolved electric field under different conditions is investigated. When positive pulse voltage is applied, the electric field has a peak of about 25 kV cm−1 at the rising edge of the voltage pulse. A dark channel is left behind the plasma bullet and the electric field in the dark channel is about 5 kV cm−1. On the other hand, when negative pulse voltage is applied, the electric field has a peak of −16 kV cm−1 when the negative voltage is increased to −8 kV. A relatively bright channel is left behind the plasma head and the electric field in this relatively bright channel is about −6 kV cm−1. When the pulse rising time increases from 60 to 200 ns, the peak electric field at both the rising edge and the falling edge of the voltage decreases significantly. When 0.5% of oxygen is added to the main working gas helium, the peak electric field at the rising edge is only about 15 kV cm−1. On the other hand, when 0.5% nitrogen is added, the peak electric field increases especially at the falling edge of the voltage pulse, where it increases reversely from −12 to −16 kV cm−1 (the minus sign only represents the direction of electric field).
  • loading

Catalog

    Turn off MathJax
    Article Contents

    /

    DownLoad:  Full-Size Img  PowerPoint
    Return
    Return