Advanced Search+
Ziqi FANG, Haohua ZONG, Yun WU, Hua LIANG, Zhi SU. Airfoil friction drag reduction based on grid-type and super-dense array plasma actuators[J]. Plasma Science and Technology, 2024, 26(2): 025503. DOI: 10.1088/2058-6272/ad0c99
Citation: Ziqi FANG, Haohua ZONG, Yun WU, Hua LIANG, Zhi SU. Airfoil friction drag reduction based on grid-type and super-dense array plasma actuators[J]. Plasma Science and Technology, 2024, 26(2): 025503. DOI: 10.1088/2058-6272/ad0c99

Airfoil friction drag reduction based on grid-type and super-dense array plasma actuators

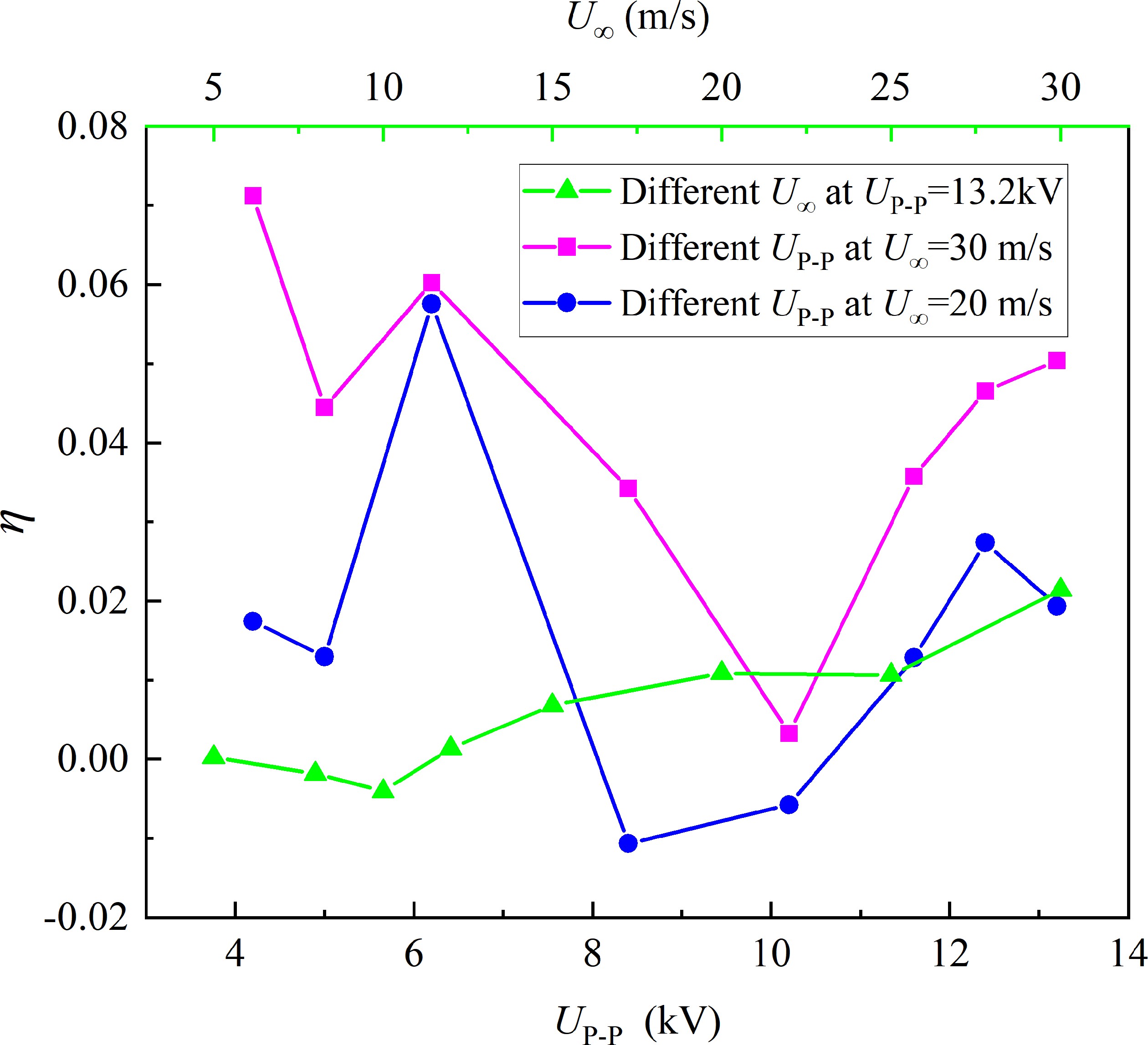
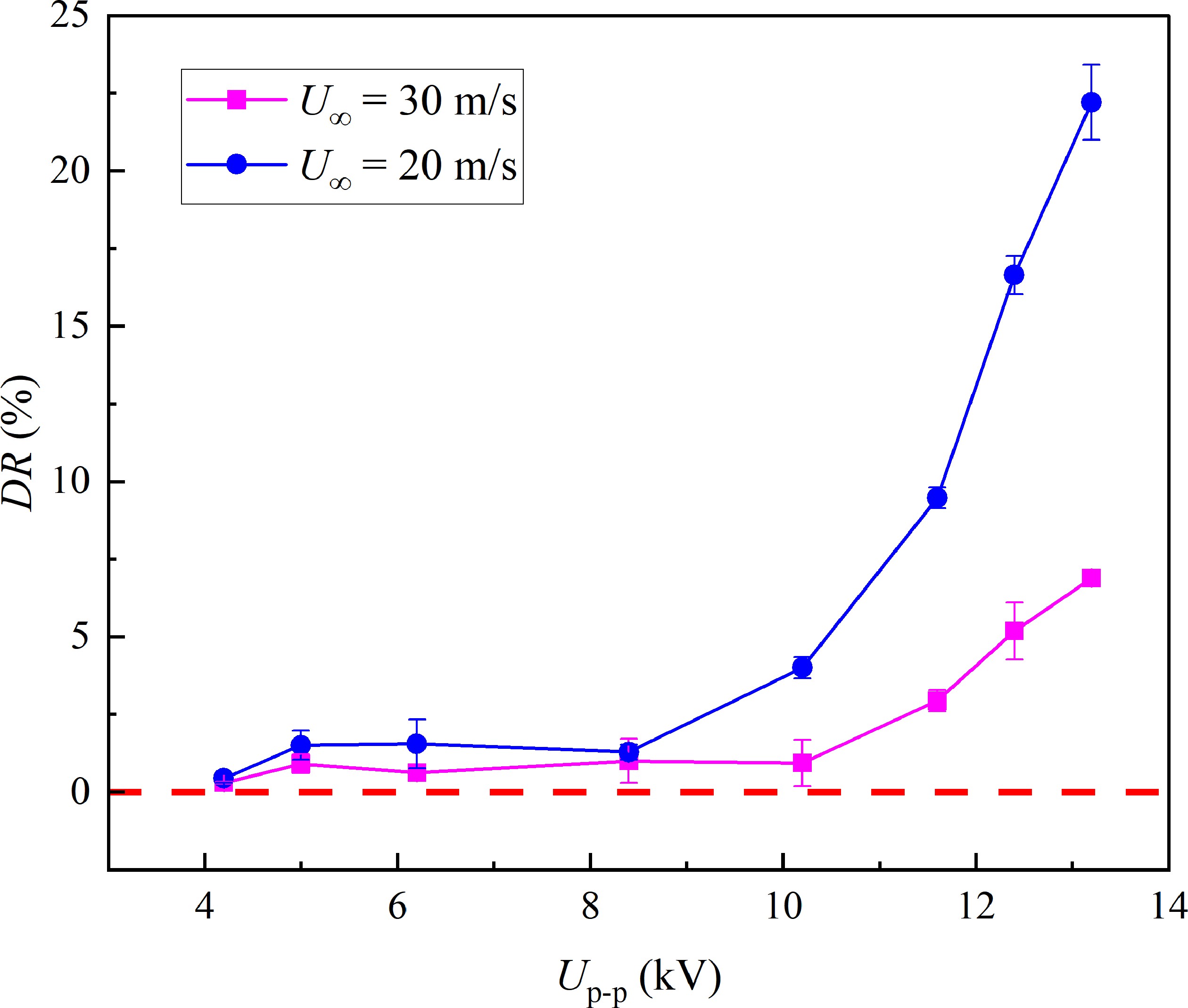
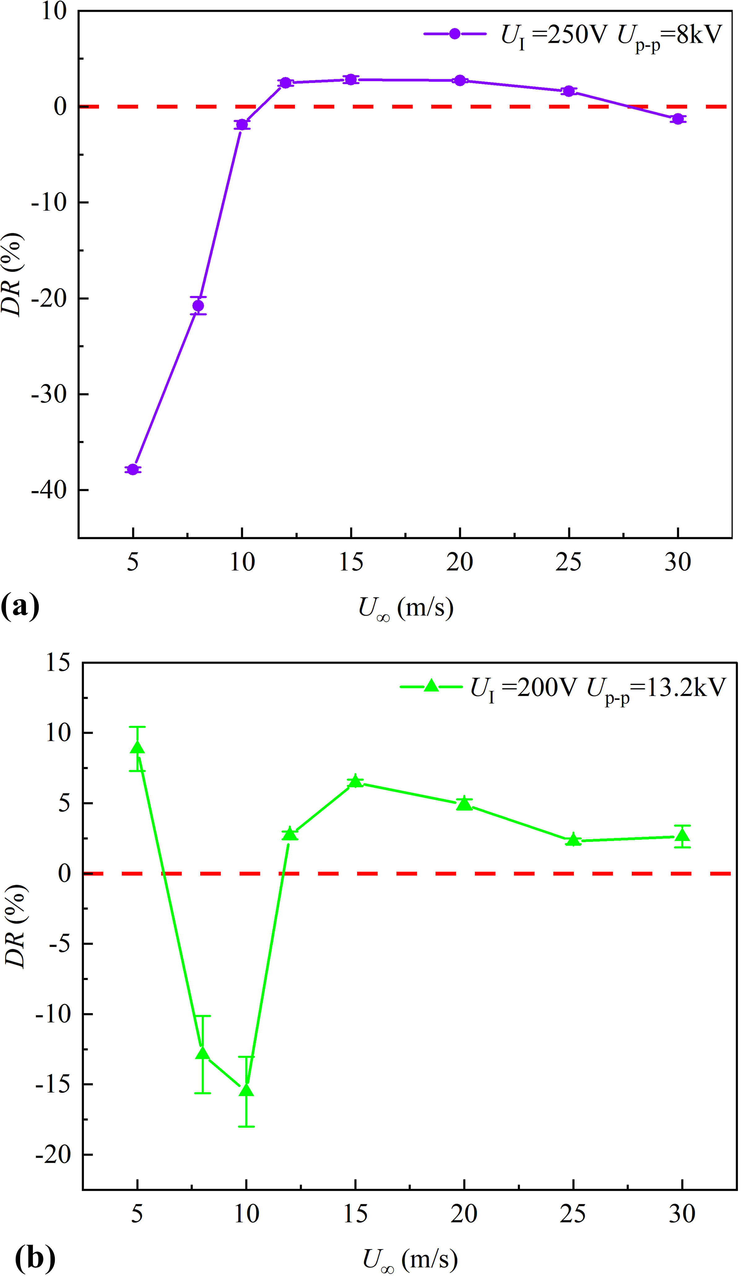
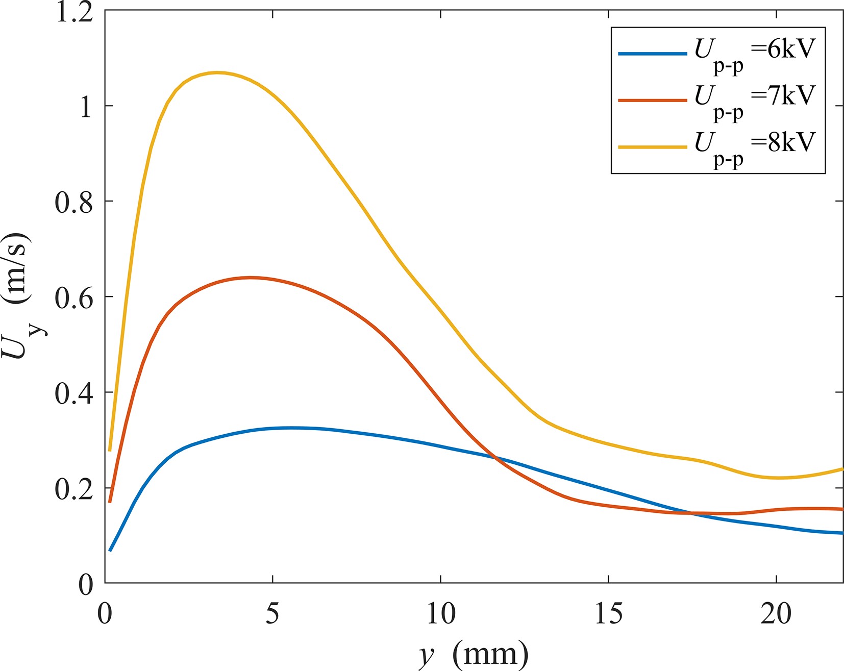
  • To improve the cruise flight performance of aircraft, two new configurations of plasma actuators (grid-type and super-dense array) were investigated to reduce the turbulent skin friction drag of a low-speed airfoil. The induced jet characteristics of the two actuators in quiescent air were diagnosed with high-speed particle image velocimetry (PIV), and their drag reduction efficiencies were examined under different operating conditions in a wind tunnel. The results showed that the grid-type plasma actuator was capable of producing a wall-normal jet array (peak magnitude: 1.07 m/s) similar to that generated in a micro-blowing technique, while the super-dense array plasma actuator created a wavy wall-parallel jet (magnitude: 0.94 m/s) due to the discrete spanwise electrostatic forces. Under a comparable electrical power consumption level, the super-dense array plasma actuator array significantly outperformed the grid-type configuration, reducing the total airfoil friction drag by approximately 22% at a free-stream velocity of 20 m/s. The magnitude of drag reduction was proportional to the dimensionless jet velocity ratio (r), and a threshold r = 0.014 existed under which little impact on airfoil drag could be discerned.
  • loading

Catalog

    Turn off MathJax
    Article Contents

    /

    DownLoad:  Full-Size Img  PowerPoint
    Return
    Return