Advanced Search+
Lei WANG, Can HUANG, Dongke CHEN, Zhongwei YANG, Aimin DU, Yasong GE. The influence of boundary conditions on the distribution of energetic electrons during collisionless magnetic reconnection[J]. Plasma Science and Technology, 2024, 26(4): 045301. DOI: 10.1088/2058-6272/ad0d5a
Citation: Lei WANG, Can HUANG, Dongke CHEN, Zhongwei YANG, Aimin DU, Yasong GE. The influence of boundary conditions on the distribution of energetic electrons during collisionless magnetic reconnection[J]. Plasma Science and Technology, 2024, 26(4): 045301. DOI: 10.1088/2058-6272/ad0d5a

The influence of boundary conditions on the distribution of energetic electrons during collisionless magnetic reconnection

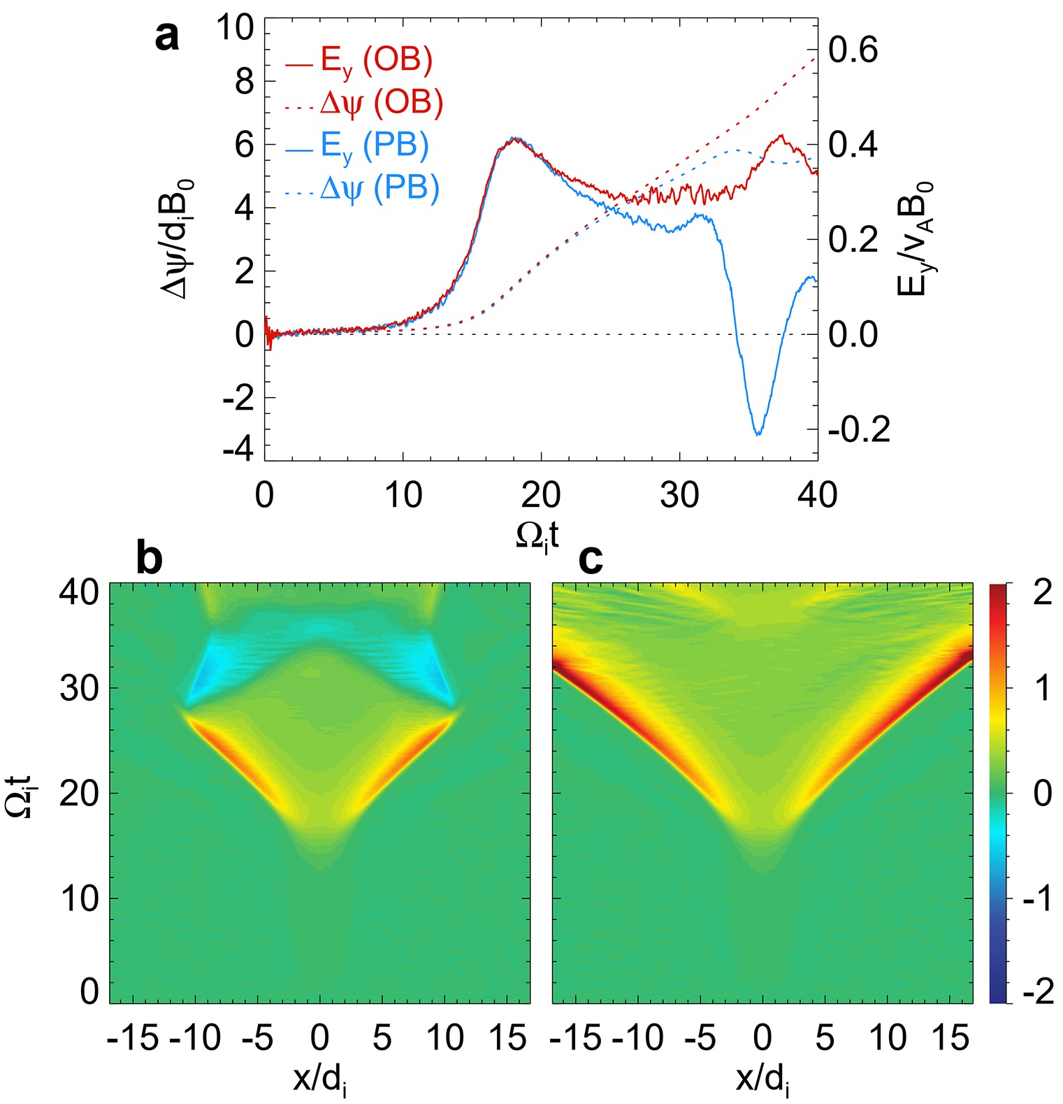
  • We conducted 2-D particle-in-cell simulations to investigate the impact of boundary conditions on the evolution of magnetic reconnection. The results demonstrate that the boundary conditions are crucial to this evolution. Specifically, in the cases of traditional periodic boundary (PB) and fully-opened boundary (OB) conditions, the evolutions are quite similar before the system achieves the fastest reconnection rate. However, differences emerge between the two cases afterward. In the PB case, the reconnection electric field experiences a rapid decline and even becomes negative, indicating a reversal of the reconnection process. In contrast, the system maintains a fast reconnection stage in the OB case. Suprathermal electrons are generated near the separatrix and in the exhaust region of both simulation cases. In the electron density depletion layer and the dipolarization front region, a larger proportion of suprathermal electrons are produced in the OB case. Medium-energy electrons are mainly located in the vicinity of the X-line and downstream of the reconnection site in both cases. However, in the OB case, they can also be generated in the electron holes along the separatrix. Before the reverse reconnection stage, no high-energy electrons are present in the PB case. In contrast, about 20% of the electrons in the thin and elongated electron current layer are high-energy in the OB case.
  • loading

Catalog

    Turn off MathJax
    Article Contents

    /

    DownLoad:  Full-Size Img  PowerPoint
    Return
    Return