Advanced Search+
Yiming SUN, Hanwen DENG, Xinyu LIU, Xiaoming KANG. Simulation of liquid cone formation on the tip apex of indium field emission electric propulsion thrustersJ. Plasma Science and Technology, 2024, 26(4): 045504. DOI: 10.1088/2058-6272/ad0d5b
Citation: Yiming SUN, Hanwen DENG, Xinyu LIU, Xiaoming KANG. Simulation of liquid cone formation on the tip apex of indium field emission electric propulsion thrustersJ. Plasma Science and Technology, 2024, 26(4): 045504. DOI: 10.1088/2058-6272/ad0d5b

Simulation of liquid cone formation on the tip apex of indium field emission electric propulsion thrusters

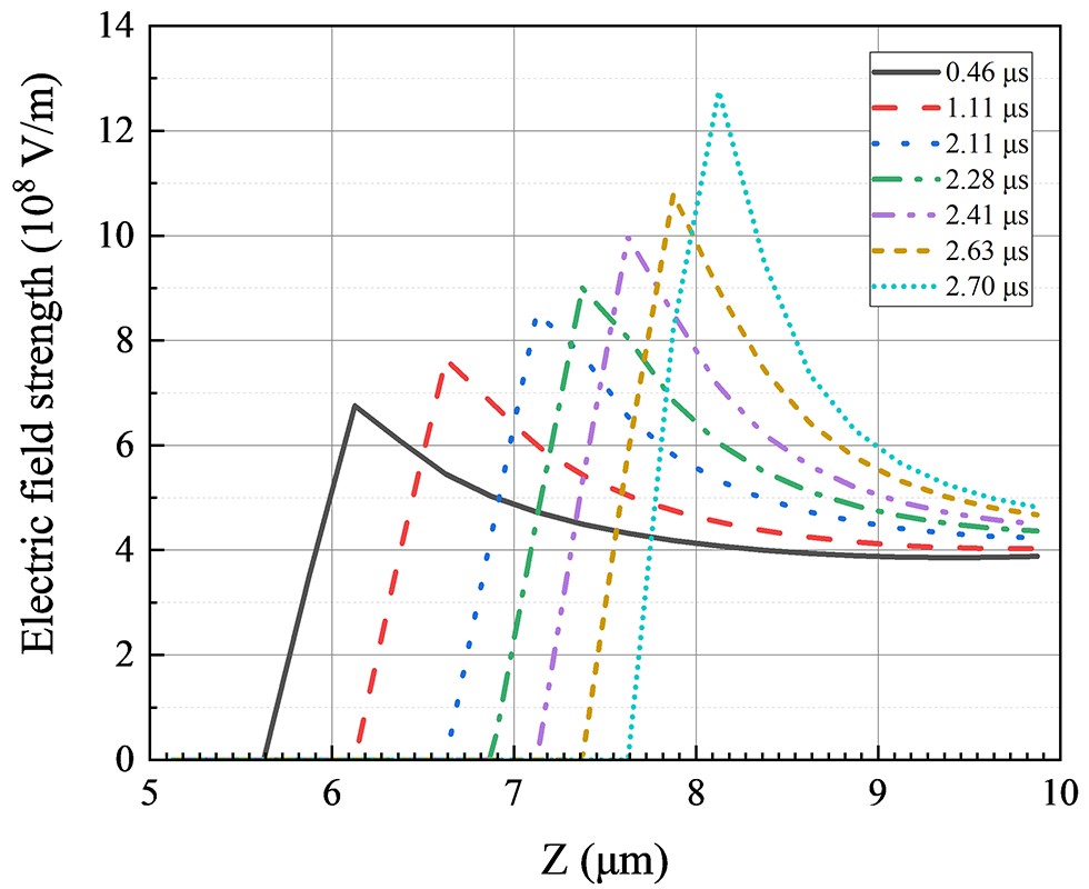
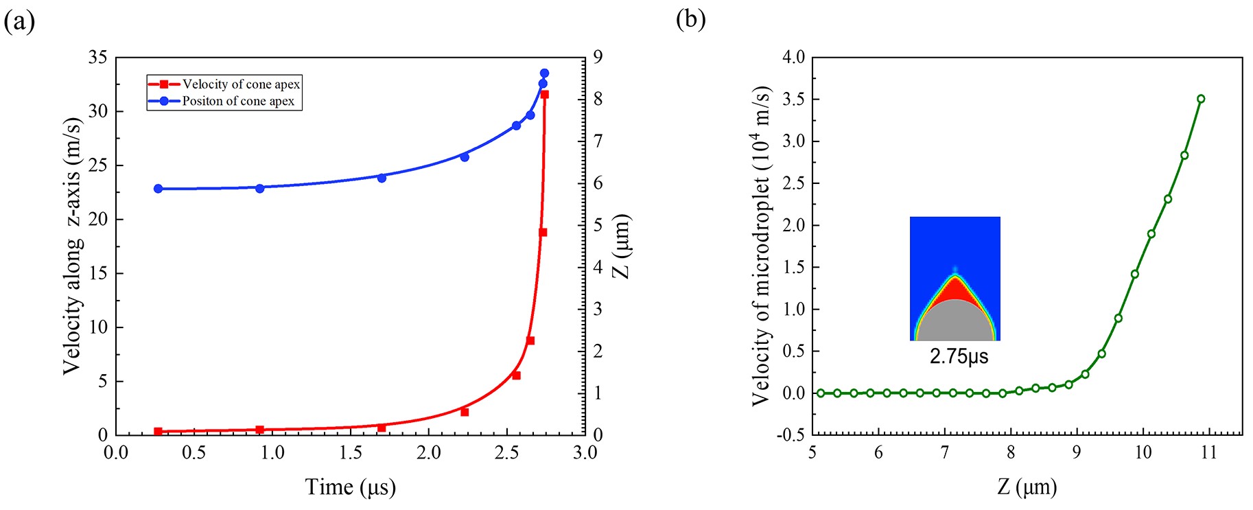
  • Field emission electric propulsion (FEEP) thrusters possess excellent characteristics, such as high specific impulse, low power requirements, compact size and precise pointing capabilities, making them ideal propulsion devices for micro-nano satellites. However, the detection of certain aspects, such as the evolution process of the liquid cone and the physical quantities at the cone apex, proves challenging due to the minute size of the needle tip and the vacuum environment in which they operate. Consequently, this paper introduces a computational fluid dynamics (CFD) model to gain insight into the formation process of the liquid cone on the tip apex of indium FEEP. The CFD model is based on electrohydrodynamic (EHD) equations and the volume of fluid (VOF) method. The entire cone formation process can be divided into three stages, and the time-dependent characteristics of the physical quantities at the cone apex are investigated. The influences of film thickness, apex radius size and applied voltage are compared. The results indicate a gradual increase in the values of electrostatic stress and surface tension stress at the cone apex over an initial period, followed by a rapid escalation within a short duration. Apex configurations featuring a small radius, thick film and high voltage exhibit a propensity for liquid cone formation, and the cone growth time decreases as the film thickness increases. Moreover, some unstable behavior is observed during the cone formation process.
  • loading

Catalog

    Turn off MathJax
    Article Contents

    /

    DownLoad:  Full-Size Img  PowerPoint
    Return
    Return