Advanced Search+
Tatiana HABIB, José Mauricio A. CAIUT, Bruno CAILLIER. Fast synthesis of gold nanoparticles by cold atmospheric pressure plasma jet in the presence of Au+ ions and a capping agent[J]. Plasma Science and Technology, 2024, 26(7): 075505. DOI: 10.1088/2058-6272/ad3499
Citation: Tatiana HABIB, José Mauricio A. CAIUT, Bruno CAILLIER. Fast synthesis of gold nanoparticles by cold atmospheric pressure plasma jet in the presence of Au+ ions and a capping agent[J]. Plasma Science and Technology, 2024, 26(7): 075505. DOI: 10.1088/2058-6272/ad3499

Fast synthesis of gold nanoparticles by cold atmospheric pressure plasma jet in the presence of Au+ ions and a capping agent

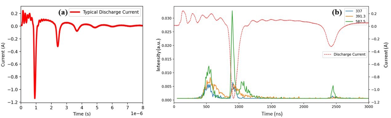
  • Homogeneous gold nanoparticles were synthesized under atmospheric pressure using a non-thermal helium plasma jet in a single-step process. A current power supply was used to generate the plasma discharge rich in diverse reactive species. These species induce rapid chemical reactions responsible for the reduction of the gold salts upon contact with the liquid solution. In this study, spherical and monodispersed gold nanoparticles were obtained within 5 min of plasma exposure using a solution containing gold (III) chloride hydrate (HAuCl4) as a precursor and polyvinylpyrrolidone (PVP) as a capping agent to inhibit agglomerations. The formation of these metal nanoparticles was initially perceptible through a visible change in the sample’s color, transitioning from light yellow to a red/pink color. This was subsequently corroborated by UV-vis spectroscopy, which revealed an optical absorption in the 520‒550 nm range for Au NPs, corresponding to the surface plasmon resonance (SPR) band. An investigation into the impact of various parameters, including plasma discharge duration, precursor and capping agent concentrations, was carried out to optimize conditions for the formation of well-separated, spherical gold nanoparticles. Dynamic light scattering (DLS) was used to measure the size of these nanoparticles, transmission electron microscopy (TEM) was used to observe their morphology and X-ray diffraction (XRD) was also employed to determine their crystallographic structure. The results confirm that homogeneous spherical gold nanoparticles with an average diameter of 13 nm can be easily synthesized through a rapid, straightforward, and environmentally friendly approach utilizing a helium atmospheric pressure plasma.
  • loading

Catalog

    Turn off MathJax
    Article Contents

    /

    DownLoad:  Full-Size Img  PowerPoint
    Return
    Return