Advanced Search+
Xingqiang LU, Ge GAO, Zhiwei MA, Wei GUO, Xin LI. Effect of toroidal mode coupling on explosive dynamics of m/n = 3/1 double tearing mode[J]. Plasma Science and Technology, 2024, 26(10): 104001. DOI: 10.1088/2058-6272/ad48cf
Citation: Xingqiang LU, Ge GAO, Zhiwei MA, Wei GUO, Xin LI. Effect of toroidal mode coupling on explosive dynamics of m/n = 3/1 double tearing mode[J]. Plasma Science and Technology, 2024, 26(10): 104001. DOI: 10.1088/2058-6272/ad48cf

Effect of toroidal mode coupling on explosive dynamics of m/n = 3/1 double tearing mode

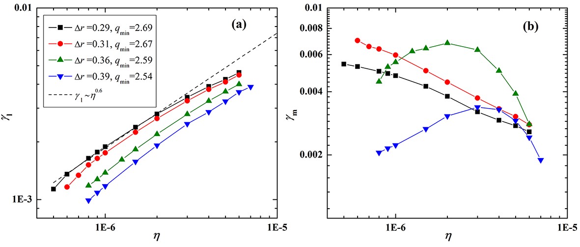
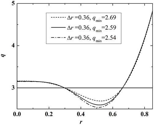
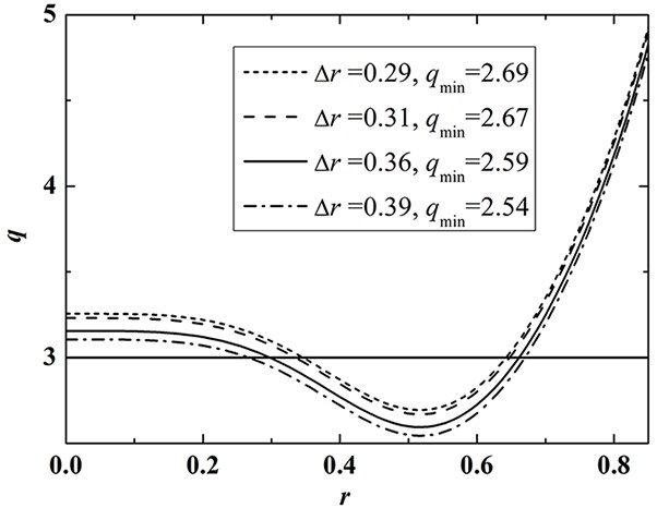
  • The CLT code was used to quantitatively study the impact of toroidal mode coupling on the explosive dynamics of the m/n = 3/1 double tearing mode. The focus of this study was on explosive reconnection processes, in which the energy bursts and the main mode no longer dominates when the separation between two rational surfaces is relatively large in the medium range. The development of higher m and n modes is facilitated by a relatively large separation between two rational surfaces, a small qmin (the minimum value of the safety factor), or low resistivity. The relationships between the higher m and n mode development, explosive reconnection rate, and position exchange of 3/1 islands are summarized for the first time. Separation plays a more important role than qmin in enhancing the development of higher m and n modes. At a relatively large separation, the good development of higher m and n modes greatly reduces the reconnection rate and suppresses the development of the main mode, resulting in the main mode not being able to develop sufficiently large to generate the position changes of 3/1 islands.
  • loading

Catalog

    Turn off MathJax
    Article Contents

    /

    DownLoad:  Full-Size Img  PowerPoint
    Return
    Return