Advanced Search+
Xiangmei LIU, Shuren ZHANG, Shuxia ZHAO, Hongying LI, Xiaohui REN. Simulation of mode transitions in capacitively coupled Ar/O2 plasmas[J]. Plasma Science and Technology, 2024, 26(11): 115401. DOI: 10.1088/2058-6272/ad668d
Citation: Xiangmei LIU, Shuren ZHANG, Shuxia ZHAO, Hongying LI, Xiaohui REN. Simulation of mode transitions in capacitively coupled Ar/O2 plasmas[J]. Plasma Science and Technology, 2024, 26(11): 115401. DOI: 10.1088/2058-6272/ad668d

Simulation of mode transitions in capacitively coupled Ar/O2 plasmas

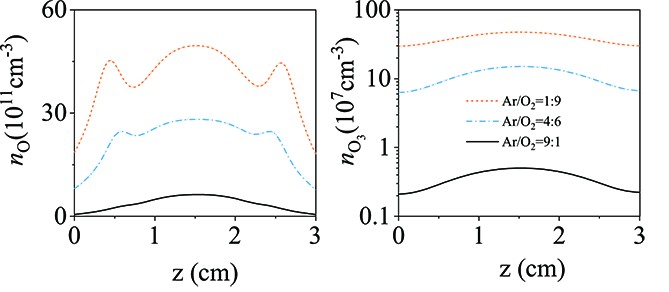
  • In this work, the effects of the frequency, pressure, gas composition, and secondary-electron emission coefficient on the discharge mode in capacitively coupled Ar/O2 plasmas were carefully studied through simulations. Three discharge modes, i.e., α, γ, and drift-ambipolar (DA), were considered in this study. The results show that a mode transition from the γ-DA hybrid mode dominated by the γ mode to the DA-α hybrid mode dominated by the DA mode is induced by increasing the frequency from 100 kHz to 40 MHz. Furthermore, the electron temperature decreases with increasing frequency, while the plasma density first decreases and then increases. It was found that the electronegativity increases slightly with increasing pressure in the low-frequency region, and it increases notably with increasing pressure in the high-frequency region. It was also observed that the frequency corresponding to the mode transition from γ to DA decreased when the secondary-electron emission coefficient was decreased. Finally, it was found that increasing the oxygen content weakens the γ mode and enhances the DA mode. More importantly, the density of oxygen atoms and ozone will increase greatly with increasing oxygen content, which is of great significance for industrial applications.
  • loading

Catalog

    Turn off MathJax
    Article Contents

    /

    DownLoad:  Full-Size Img  PowerPoint
    Return
    Return