Advanced Search+
Ling ZHANG, Ge GAO, Li JIANG. Fault detection and health monitoring of high-power thyristor converter based on long short-term memory in nuclear fusion[J]. Plasma Science and Technology, 2025, 27(4): 044008. DOI: 10.1088/2058-6272/adb791
Citation: Ling ZHANG, Ge GAO, Li JIANG. Fault detection and health monitoring of high-power thyristor converter based on long short-term memory in nuclear fusion[J]. Plasma Science and Technology, 2025, 27(4): 044008. DOI: 10.1088/2058-6272/adb791

Fault detection and health monitoring of high-power thyristor converter based on long short-term memory in nuclear fusion

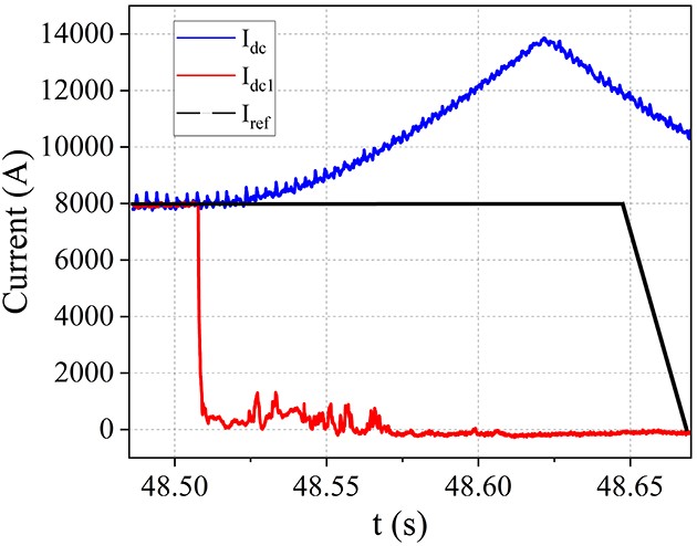
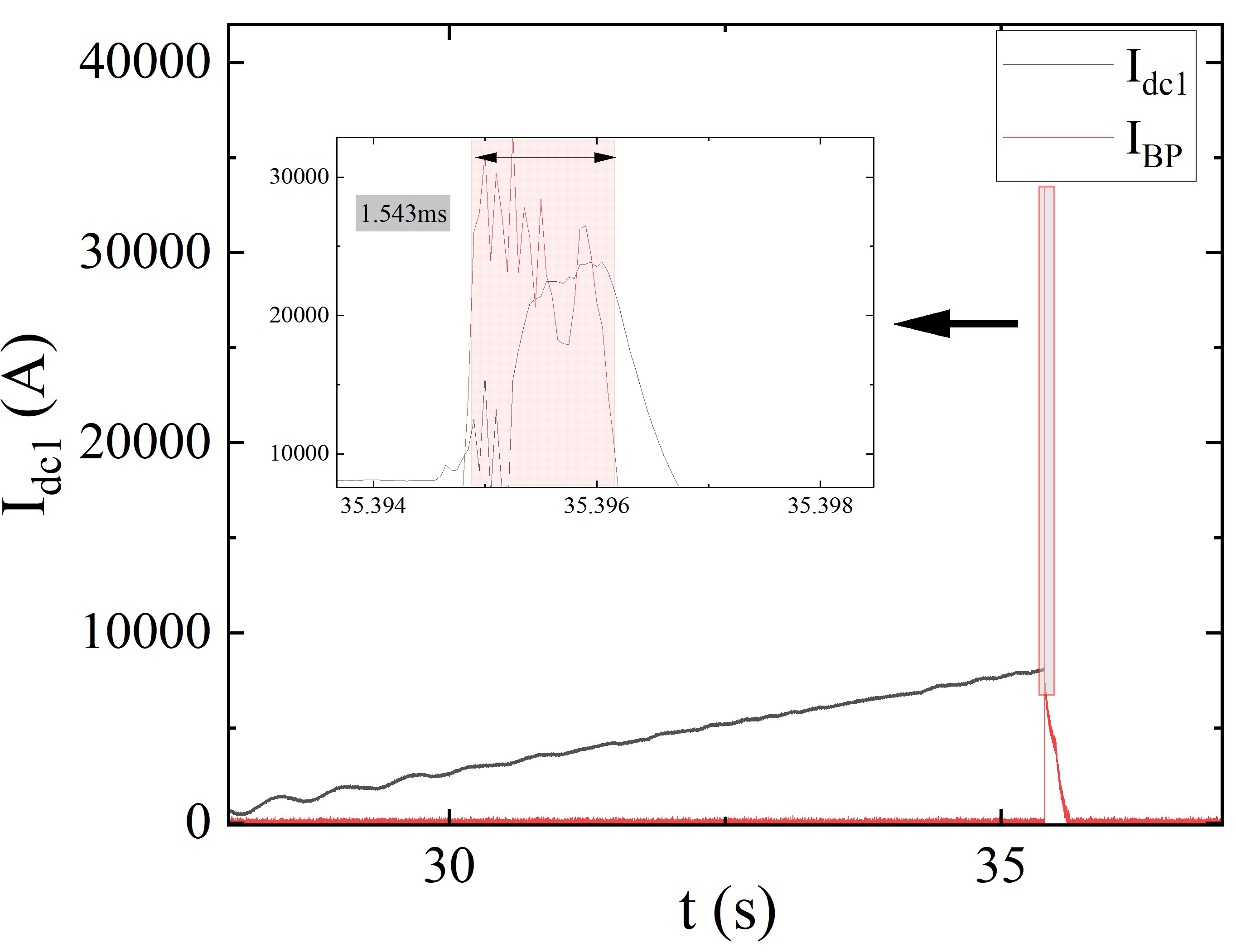
  • This research focuses on solving the fault detection and health monitoring of high-power thyristor converter. In terms of the critical role of thyristor converter in nuclear fusion system, a method based on long short-term memory (LSTM) neural network model is proposed to monitor the operational state of the converter and accurately detect faults as they occur. By sampling and processing a large number of thyristor converter operation data, the LSTM model is trained to identify and detect abnormal state, and the power supply health status is monitored. Compared with traditional methods, LSTM model shows higher accuracy and abnormal state detection ability. The experimental results show that this method can effectively improve the reliability and safety of the thyristor converter, and provide a strong guarantee for the stable operation of the nuclear fusion reactor.
  • loading

Catalog

    Turn off MathJax
    Article Contents

    /

    DownLoad:  Full-Size Img  PowerPoint
    Return
    Return