Advanced Search+
Yizhuohang LIU, Pingwei ZHENG, Xueyu GONG, Lan YIN, Xiaochang CHEN, Yijun ZHONG, Wenjun YANG. Numerical study of plasmas start-up by electron cyclotron waves in NCST spherical tokamak and CN-H1 stellarator[J]. Plasma Science and Technology, 2024, 26(7): 075101. DOI: 10.1088/2058-6272/ad2f3b
Citation: Yizhuohang LIU, Pingwei ZHENG, Xueyu GONG, Lan YIN, Xiaochang CHEN, Yijun ZHONG, Wenjun YANG. Numerical study of plasmas start-up by electron cyclotron waves in NCST spherical tokamak and CN-H1 stellarator[J]. Plasma Science and Technology, 2024, 26(7): 075101. DOI: 10.1088/2058-6272/ad2f3b

Numerical study of plasmas start-up by electron cyclotron waves in NCST spherical tokamak and CN-H1 stellarator

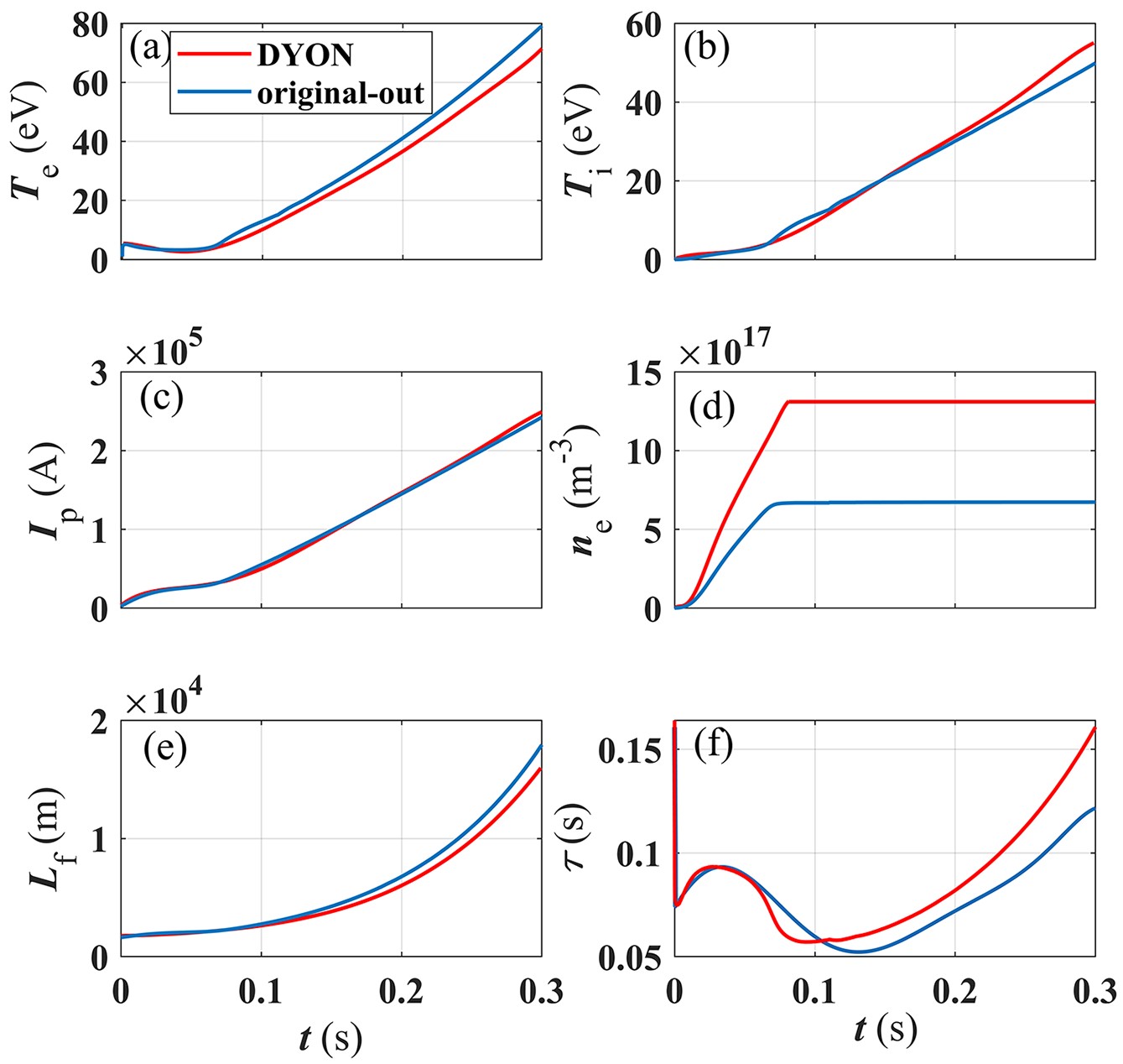
  • According to the physics of tokamak start-up, this study constructs a zero-dimensional (0D) model applicable to electron cyclotron (EC) wave assisted start-up in NCST spherical torus (spherical tokamak) and CN-H1 stellarators. Using the constructed 0D model, the results obtained in this study under the same conditions are compared and validated against reference results for pure hydrogen plasma start-up in tokamak. The results are in good agreement, especially regarding electron temperature, ion temperature and plasma current. In the presence of finite Ohmic electric field in the spherical tokamak, a study on the EC wave assisted start-up of the NCST plasma at frequency of 28 GHz is conducted. The impact of the vertical magnetic field Bv on EC wave assisted start-up, the relationship between EC wave injection power Pinj, Ohmic electric field E, and initial hydrogen atom density nH0 are explored separately. It is found that under conditions of Ohmic electric field lower than ITER (~ 0.3 V m−1), EC wave can expand the operational space to achieve better plasma parameters. Simulating the process of 28 GHz EC wave start-up in the CN-H1 stellarator plasma, the plasma current in the zero-dimensional model is replaced with the current in the poloidal coil of the stellarator. Plasma start-up can be successfully achieved at injection powers in the hundreds of kilowatts range, resulting in electron densities on the order of 1017–1018 m–3.
  • loading

Catalog

    Turn off MathJax
    Article Contents

    /

    DownLoad:  Full-Size Img  PowerPoint
    Return
    Return