Advanced Search+
Mengfan ZHANG, Dingguo LAI, Qifu XU, Mengtong QIU. Impedance control method of the cylindrical virtual cathode reflex triode based on multi-ring cathode[J]. Plasma Science and Technology, 2025, 27(4): 044011. DOI: 10.1088/2058-6272/adbc35
Citation: Mengfan ZHANG, Dingguo LAI, Qifu XU, Mengtong QIU. Impedance control method of the cylindrical virtual cathode reflex triode based on multi-ring cathode[J]. Plasma Science and Technology, 2025, 27(4): 044011. DOI: 10.1088/2058-6272/adbc35

Impedance control method of the cylindrical virtual cathode reflex triode based on multi-ring cathode

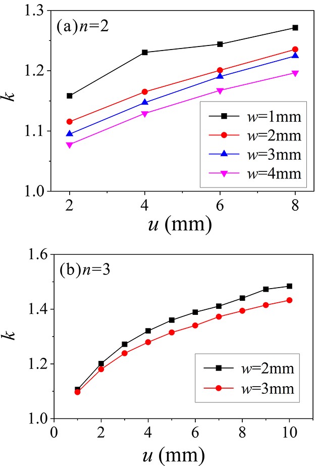
  • The cylindrical virtual cathode reflex triode is a new type of pulsed hard X-ray load, which has the advantages of simple structure, high radiation conversion efficiency, and simplicity in series-parallel operation. This paper presents a method to reduce the impedance of the triode using a multi-ring cathode. The average electric field on the ring-cathode emission surface is enhanced due to edge effect, and the beam intensity is greatly increased in proportion to the square of the electric field strength. Multi-ring cathode is used to enlarge the emission area. Therefore, the reflex triode can work at lower impedance and generate a stronger beam under the same anode-cathode gap. In addition, the electric field enhancement of the cathode reduces the cathode emission stabilization time and enhances the operation stability of the triode. The effects of parameters such as ring width and ring gap on the triode impedance are simulated and studied. The cathode emission stabilization time and the X-ray conversion efficiency are compared. The design basis of cathode structure parameters and the impedance control method of the cylindrical virtual cathode reflex triode are given according to the simulations.
  • loading

Catalog

    Turn off MathJax
    Article Contents

    /

    DownLoad:  Full-Size Img  PowerPoint
    Return
    Return