Advanced Search+
Wangwen XU, Zhanghu HU, Dexuan HUI, Younian WANG. High energy electron beam generation during interaction of a laser accelerated proton beam with a gas-discharge plasma[J]. Plasma Science and Technology, 2022, 24(5): 055001. DOI: 10.1088/2058-6272/ac4d1d
Citation: Wangwen XU, Zhanghu HU, Dexuan HUI, Younian WANG. High energy electron beam generation during interaction of a laser accelerated proton beam with a gas-discharge plasma[J]. Plasma Science and Technology, 2022, 24(5): 055001. DOI: 10.1088/2058-6272/ac4d1d

High energy electron beam generation during interaction of a laser accelerated proton beam with a gas-discharge plasma

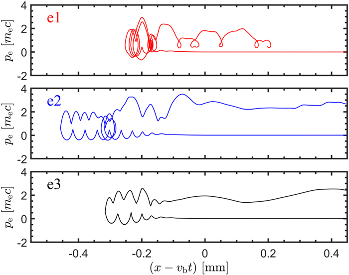
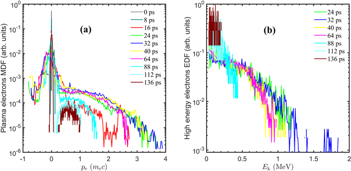
  • The study of the interaction between ion beam and plasma is very important to the areas of inertial fusion energy and high energy density physics. With detailed one-dimensional electromagnetic particle-in-cell simulations, we investigate here the interaction of a laser-accelerated proton beam assuming an ideal monoenergetic beam with a gas-discharge plasma. After the saturation stage of the two-stream instability excited by the proton beam, significant high energy electrons are observed, with maximum energy approaching 2 MeV, and a new two-stream instability occurs between the high energy electrons and background electrons. The trajectories of plasma electrons are studied, showing the process of electron trapping and de-trapping from the wakefield.
  • loading

Catalog

    Turn off MathJax
    Article Contents

    /

    DownLoad:  Full-Size Img  PowerPoint
    Return
    Return