Advanced Search+
Qing LI, Guanghui ZHU, Baoming REN, Jiacheng YING, Zhida YANG, Xuan SUN. Experimental studies of cusp stabilization in Keda Mirror with AXisymmetricity (KMAX)[J]. Plasma Science and Technology, 2023, 25(2): 025102. DOI: 10.1088/2058-6272/ac8e45
Citation: Qing LI, Guanghui ZHU, Baoming REN, Jiacheng YING, Zhida YANG, Xuan SUN. Experimental studies of cusp stabilization in Keda Mirror with AXisymmetricity (KMAX)[J]. Plasma Science and Technology, 2023, 25(2): 025102. DOI: 10.1088/2058-6272/ac8e45

Experimental studies of cusp stabilization in Keda Mirror with AXisymmetricity (KMAX)

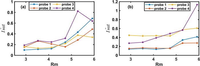
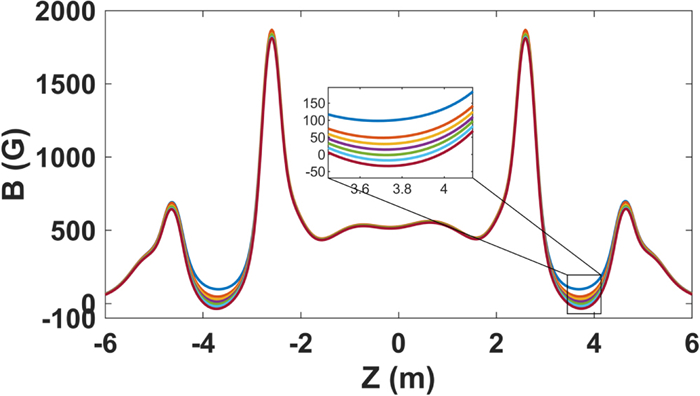
  • Stabilization of the axisymmetric magnetic mirror relies on the pressure-weighted magnetic field curvature. We report a new experiment by configuring a magnetic cusp structure to stabilize m = 1 interchange mode in the KMAX tandem mirror. The cusp configuration is formed by reversing currents in the two side cell coils, and a stronger cusp can lead to a more stable plasma once the null point of the cusp is less than 35–40 cm away from the device axis. The density fluctuations measured by four axial Langmuir probes are mitigated by 70%–80%. The stabilization effect is consistent with the prediction of a theoretical calculation.
  • loading

Catalog

    Turn off MathJax
    Article Contents

    /

    DownLoad:  Full-Size Img  PowerPoint
    Return
    Return