Advanced Search+
Qingrui ZHOU, Yanjie ZHANG, Chaofeng SANG, Jiaxian LI, Guoyao ZHENG, Yilin WANG, Yihan WU, Dezhen WANG. Simulation of tungsten impurity transport by DIVIMP under different divertor magnetic configurations on HL-3[J]. Plasma Science and Technology, 2024, 26(10): 104003. DOI: 10.1088/2058-6272/ad6817
Citation: Qingrui ZHOU, Yanjie ZHANG, Chaofeng SANG, Jiaxian LI, Guoyao ZHENG, Yilin WANG, Yihan WU, Dezhen WANG. Simulation of tungsten impurity transport by DIVIMP under different divertor magnetic configurations on HL-3[J]. Plasma Science and Technology, 2024, 26(10): 104003. DOI: 10.1088/2058-6272/ad6817

Simulation of tungsten impurity transport by DIVIMP under different divertor magnetic configurations on HL-3

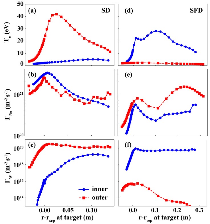
  • Tungsten (W) accumulation in the core, depending on W generation and transport in the edge region, is a severe issue in fusion reactors. Compared to standard divertors (SDs), snowflake divertors (SFDs) can effectively suppress the heat flux, while the impact of magnetic configurations on W core accumulation remains unclear. In this study, the kinetic code DIVIMP combined with the SOLPS-ITER code is applied to investigate the effects of divertor magnetic configurations (SD versus SFD) on W accumulation during neon injection in HL-3. It is found that the W concentration in the core of the SFD is significantly higher than that of the SD with similar total W erosion flux. The reasons for this are: (1) W impurities in the core of the SFD mainly originate from the inner divertor, which has a short leg, and the source is close to the divertor entrance and upstream separatrix. Furthermore, the W ionization source (SW0) is much stronger, especially near the divertor entrance. (2) The region overlap of SW0 and F_\mathrmW,\mathrmT\mathrmO\mathrmT pointing upstream promote W accumulation in the core. Moreover, the influence of W source locations at the inner target on W transport in the SFD is investigated. Tungsten impurity in the core is mainly contributed by target erosion in the common flux region (CFR) away from the strike point. This is attributed to the fact that the W source at this location enhances the ionization source above the W ion stagnation point, which sequentially increases W penetration. Therefore, the suppression of far SOL inner target erosion can effectively prevent W impurities from accumulating in the core.
  • loading

Catalog

    Turn off MathJax
    Article Contents

    /

    DownLoad:  Full-Size Img  PowerPoint
    Return
    Return