Advanced Search+
Yaocong XIE, Xiaoping LI, Fangfang SHEN, Bowen BAI, Yanming LIU, Xuyang CHEN, Lei SHI. Analysis of inverse synthetic aperture radar imaging in the presence of time-varying plasma sheath[J]. Plasma Science and Technology, 2022, 24(3): 035002. DOI: 10.1088/2058-6272/ac1d98
Citation: Yaocong XIE, Xiaoping LI, Fangfang SHEN, Bowen BAI, Yanming LIU, Xuyang CHEN, Lei SHI. Analysis of inverse synthetic aperture radar imaging in the presence of time-varying plasma sheath[J]. Plasma Science and Technology, 2022, 24(3): 035002. DOI: 10.1088/2058-6272/ac1d98

Analysis of inverse synthetic aperture radar imaging in the presence of time-varying plasma sheath

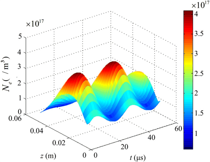
  • The plasma sheath can induce radar signal modulation, causing not only ineffective target detection, but also defocusing in inverse synthetic aperture radar (ISAR) imaging. In this paper, through establishing radar echo models of the reentry object enveloped with time-varying plasma sheath, we simulated the defocusing of ISAR images in typical environment. Simulation results suggested that the ISAR defocusing is caused by false scatterings, upon which the false scatterings' formation mechanism and distribution property are analyzed and studied. The range of false scattering correlates with the electron density fluctuation frequency. The combined value of the electron density fluctuation and the pulse repetition frequency jointly determines the Doppler of false scattering. Two measurement metrics including peak signal-to-noise ratio and structural similarity are used to evaluate the influence of ISAR imaging.
  • loading

Catalog

    Turn off MathJax
    Article Contents

    /

    DownLoad:  Full-Size Img  PowerPoint
    Return
    Return