Advanced Search+
Yanming LIU, Hailiang WEI, Lei SHI, Bo YAO. Adaptive protograph-based BICM-ID relying on the RJ-MCMC algorithm: a reliable and efficient transmission solution for plasma sheath channelsJ. Plasma Science and Technology, 2022, 24(4): 045001. DOI: 10.1088/2058-6272/ac56ca
Citation: Yanming LIU, Hailiang WEI, Lei SHI, Bo YAO. Adaptive protograph-based BICM-ID relying on the RJ-MCMC algorithm: a reliable and efficient transmission solution for plasma sheath channelsJ. Plasma Science and Technology, 2022, 24(4): 045001. DOI: 10.1088/2058-6272/ac56ca

Adaptive protograph-based BICM-ID relying on the RJ-MCMC algorithm: a reliable and efficient transmission solution for plasma sheath channels

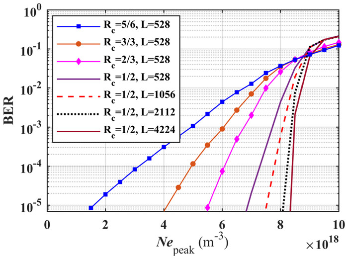
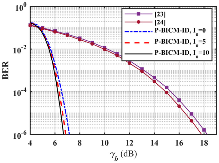
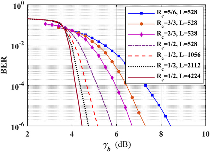
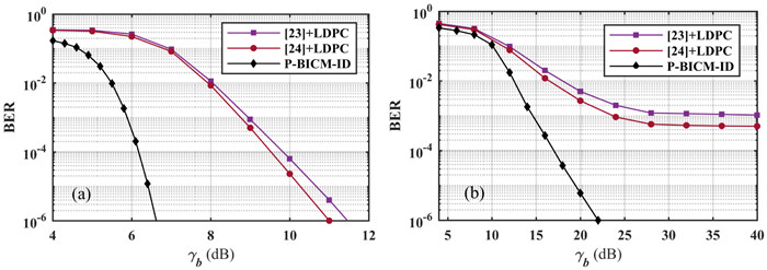
  • For reentry communication, owing to the influence of the highly dynamic plasma sheath (PS), the parasitic modulation effect can occur and the received phase shift keying (PSK) signal constellation can be severely rotated, leading to unacceptable demodulation performance degradation. In this work, an adaptive non-coherent bit-interleaved coded modulation with iterative decoding (BICM-ID) system with binary PSK (BPSK) modulation and protograph low-density parity-check under the PS channel is proposed. The proposed protograph-based BICM-ID (P-BICM-ID) system can achieve joint processing of demodulation and decoding, where the soft information is adaptively estimated by reversible-jump Markov chain Monte Carlo (RJ-MCMC) algorithms. Simulation results indicate that compared to existing algorithms, the proposed system can adapt well to the dynamic characteristics of the PS channel and can obtain a 5 dB performance improvement at a bit error rate of 10-6.
  • loading

Catalog

    Turn off MathJax
    Article Contents

    /

    DownLoad:  Full-Size Img  PowerPoint
    Return
    Return