Advanced Search+
Zhihui ZOU, Ping ZHU, Charlson C KIM, Wei DENG, Xianqu WANG, Yawei HOU. Frequency multiplication with toroidal mode number of kink/fishbone modes on a static HL-2A-like tokamakJ. Plasma Science and Technology, 2022, 24(12): 124005. DOI: 10.1088/2058-6272/aca00a
Citation: Zhihui ZOU, Ping ZHU, Charlson C KIM, Wei DENG, Xianqu WANG, Yawei HOU. Frequency multiplication with toroidal mode number of kink/fishbone modes on a static HL-2A-like tokamakJ. Plasma Science and Technology, 2022, 24(12): 124005. DOI: 10.1088/2058-6272/aca00a

Frequency multiplication with toroidal mode number of kink/fishbone modes on a static HL-2A-like tokamak

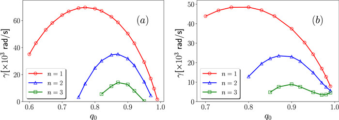
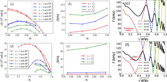
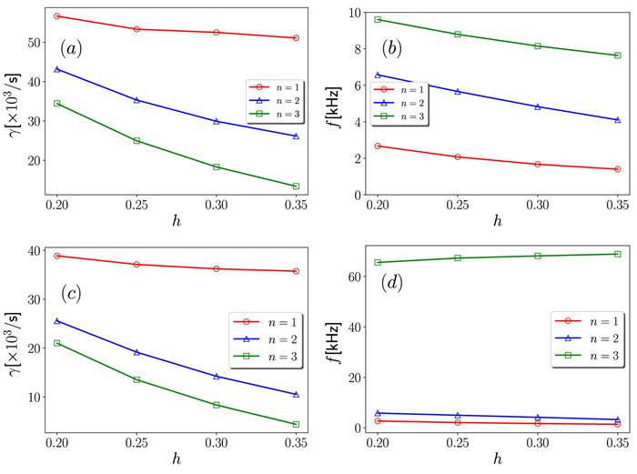
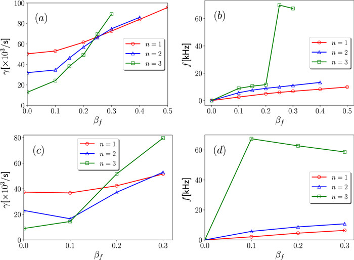
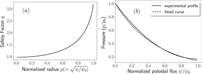
  • In the presence of energetic particles (EPs), the long-lived mode (LLM) frequency multiplication with n = 1, 2, 3, or higher is often observed on HL-2A, where n is the toroidal mode number. Hybrid kinetic-MHD model simulations of the energetic particle (EP) driven kink/fishbone modes on a static HL-2A-like tokamak using NIMROD code find that when the background plasma pressure is relatively high, and the EP pressure and the beam energy are relatively low, the mode frequency increases almost linearly with EP pressure, and the frequency is proportional to n ('frequency multiplication'), even in the absence of any equilibrium plasma rotation. In addition, the frequency multiplication persists as the safety factor at the magnetic axis q0 varies. In the absence of EPs, the growth rate of the 1/1 mode is the largest; however, as the EP pressure increases, the growth rate of 2/2 modes or 3/3 modes becomes dominant, suggesting that higher-n modes are more vulnerable to EPs. These results may shed light on the understanding of the toroidal mode number dependence of kink/fishbone modes in the advanced scenarios of tokamaks with weak or reversed central magnetic shear.
  • loading

Catalog

    Turn off MathJax
    Article Contents

    /

    DownLoad:  Full-Size Img  PowerPoint
    Return
    Return