Advanced Search+
Domen PAUL, Miran MOZETIČ, Rok ZAPLOTNIK, Alenka VESEL, Gregor PRIMC, Denis ÐONLAGIČ. The penetration depth of atomic radicals in tubes with catalytic surface properties[J]. Plasma Science and Technology, 2024, 26(7): 075510. DOI: 10.1088/2058-6272/ad3952
Citation: Domen PAUL, Miran MOZETIČ, Rok ZAPLOTNIK, Alenka VESEL, Gregor PRIMC, Denis ÐONLAGIČ. The penetration depth of atomic radicals in tubes with catalytic surface properties[J]. Plasma Science and Technology, 2024, 26(7): 075510. DOI: 10.1088/2058-6272/ad3952

The penetration depth of atomic radicals in tubes with catalytic surface properties

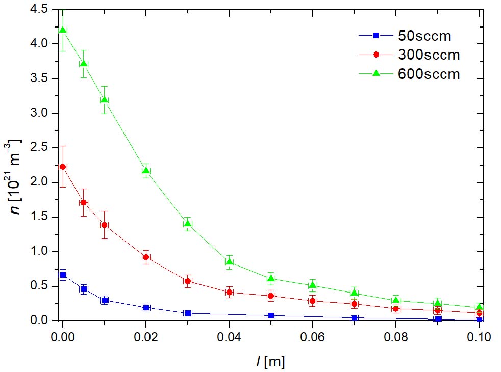
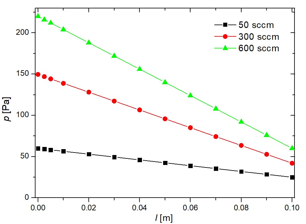
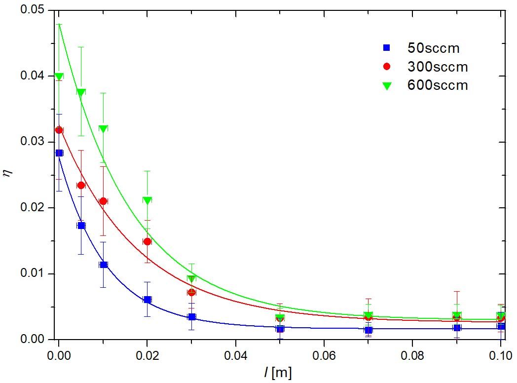
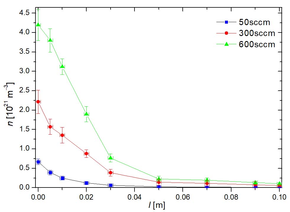
  • Catalysis of molecular radicals is often performed in interesting experimental configurations. One possible configuration is tubular geometry. The radicals are introduced into the tubes on one side, and stable molecules are exhausted on the other side. The penetration depth of radicals depends on numerous parameters, so it is not always feasible to calculate it. This article presents systematic measurements of the penetration depth of oxygen atoms along tubes made from nickel, cobalt, and copper. The source of O atoms was a surfatron-type microwave plasma. The initial density of O atoms depended on the gas flow and was 0.7×1021 m−3, 2.4×1021 m−3, and 4.2×1021 m−3 at the flow rates of 50, 300, and 600 sccm, and pressures of 10, 35, and 60 Pa, respectively. The gas temperature remained at room temperature throughout the experiments. The dissociation fraction decreased exponentially along the length of the tubes in all cases. The penetration depths for well-oxidized nickel were 1.2, 1.7, and 2.4 cm, respectively. For cobalt, they were slightly lower at 1.0, 1.3, and 1.6 cm, respectively, while for copper, they were 1.1, 1.3, and 1.7 cm, respectively. The results were explained by gas dynamics and heterogeneous surface association. These data are useful in any attempt to estimate the loss of molecular fragments along tubes, which serve as catalysts for the association of various radicals to stable molecules.
  • loading

Catalog

    Turn off MathJax
    Article Contents

    /

    DownLoad:  Full-Size Img  PowerPoint
    Return
    Return