Advanced Search+
Peng LI, Ye YUAN, Rong ZHOU, Lin LI, Hao CUI, Ziheng PU, Xuelin YANG. Discharge fault detection of dry air switchgear based on ZnO-MoS2 gas sensor[J]. Plasma Science and Technology, 2025, 27(4): 044002. DOI: 10.1088/2058-6272/ad8f0d
Citation: Peng LI, Ye YUAN, Rong ZHOU, Lin LI, Hao CUI, Ziheng PU, Xuelin YANG. Discharge fault detection of dry air switchgear based on ZnO-MoS2 gas sensor[J]. Plasma Science and Technology, 2025, 27(4): 044002. DOI: 10.1088/2058-6272/ad8f0d

Discharge fault detection of dry air switchgear based on ZnO-MoS2 gas sensor

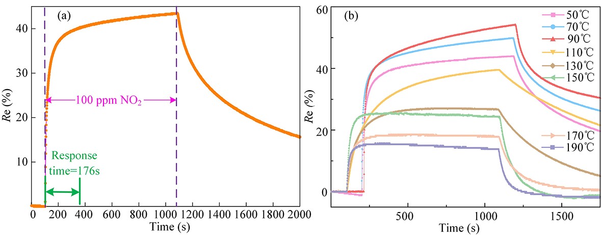
  • When discharge faults occur in dry air switchgear, the air decomposes to produce diverse gases, with NO2 reaching the highest levels. Detecting the NO2 level can reflect the operation status of the equipment. This paper proposes to combine ZnO cluster with MoS2 to improve the gas-sensitive properties of the monolayer. Based on the Density Functional Theory (DFT), the effect of (ZnO)n size on the behavior of MoS2 is considered. Key parameters such as adsorption energy and band gap of (ZnO)n-MoS2/NO2 system were calculated. The ZnO-MoS2 heterojunction was successfully synthesized by a hydrothermal method. The gas sensor exhibits a remarkable response and a fast response-recovery time to 100 ppm NO2. In addition, it demonstrates excellent selectivity, long-term stability and a low detection limit. This work confirms the potential of the ZnO-MoS2 composite structure as a highly effective gas sensor for NO2 detection, which provides valuable theoretical and experimental insights for fault detection in dry air switchgear.
  • loading

Catalog

    Turn off MathJax
    Article Contents

    /

    DownLoad:  Full-Size Img  PowerPoint
    Return
    Return