Advanced Search+
Yongpeng MO, Zongqian SHI, Shenli JIA. Study of post-arc residual plasma dissipation process of vacuum circuit breakers based on a 2D particle-in-cell modelJ. Plasma Science and Technology, 2022, 24(4): 045401. DOI: 10.1088/2058-6272/ac5235
Citation: Yongpeng MO, Zongqian SHI, Shenli JIA. Study of post-arc residual plasma dissipation process of vacuum circuit breakers based on a 2D particle-in-cell modelJ. Plasma Science and Technology, 2022, 24(4): 045401. DOI: 10.1088/2058-6272/ac5235

Study of post-arc residual plasma dissipation process of vacuum circuit breakers based on a 2D particle-in-cell model

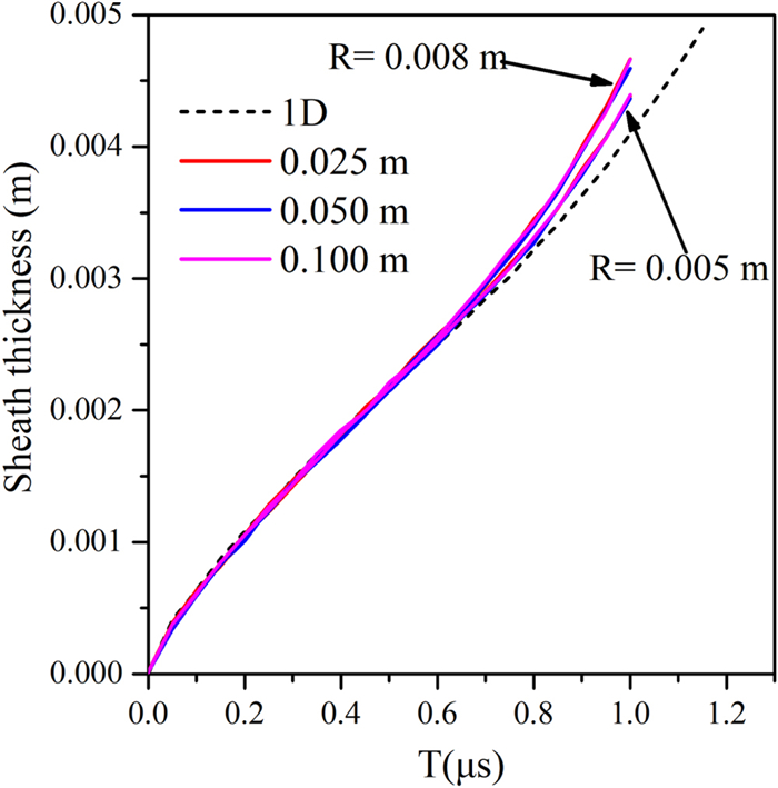
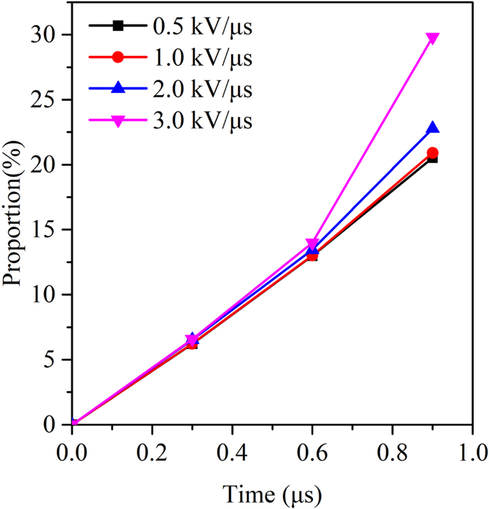
  • In order to get an insight into residual plasma radial motion during the post-arc stage, a two-dimensional (2D) cylindrical particle-in-cell (PIC) model is developed. Firstly, influences of a virtual boundary condition on the residual plasma motion are studied. For purpose of validating this 2D cylindrical particle-in-cell model, a comparison between one-dimensional particle-in-cell model is also presented in this paper. Then a study about the influences of the rising rate of transient recovery voltage on the residual plasma radial motion is presented on the basis of the 2D PIC model.
  • loading

Catalog

    Turn off MathJax
    Article Contents

    /

    DownLoad:  Full-Size Img  PowerPoint
    Return
    Return