Advanced Search+
Shijie HUANG, Yi LIU, Yong ZHAO, Youlai XU, Fuchang LIN, Hua LI, Qin ZHANG, Liuxia LI. Stress wave analysis of high-voltage pulse discharge rock fragmentation based on plasma channel impedance model[J]. Plasma Science and Technology, 2023, 25(6): 065502. DOI: 10.1088/2058-6272/acb136
Citation: Shijie HUANG, Yi LIU, Yong ZHAO, Youlai XU, Fuchang LIN, Hua LI, Qin ZHANG, Liuxia LI. Stress wave analysis of high-voltage pulse discharge rock fragmentation based on plasma channel impedance model[J]. Plasma Science and Technology, 2023, 25(6): 065502. DOI: 10.1088/2058-6272/acb136

Stress wave analysis of high-voltage pulse discharge rock fragmentation based on plasma channel impedance model

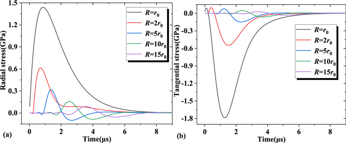
  • High-voltage pulse discharge (HVPD) rock fragmentation controls a plasma channel forming inside the rock by adjusting the electrical parameters, electrode type, etc. In this work, an HVPD rock fragmentation test platform was built and the test waveforms were measured. Considering the effects of temperature, channel expansion and electromagnetic radiation, the impedance model of the plasma channel in the rock was established. The parameters and initial values of the model were determined by an iterative computational process. The model calculation results can reasonably characterize the development of the plasma channel in the rock and estimate the shock wave characteristics. Based on the plasma channel impedance model, the temporal and spatial distribution characteristics of the radial stress and tangential stress in the rock were calculated, and the rock fragmentation effect of the HVPD was analyzed.
  • loading

Catalog

    Turn off MathJax
    Article Contents

    /

    DownLoad:  Full-Size Img  PowerPoint
    Return
    Return