Advanced Search+
V. A. KRUPIN, M. R. NURGALIEV, A. R. NEMETS, I. A. ZEMTSOV, S. D. SUNTSOV, T. B. MYALTON, D. S. SERGEEV, N. A. SOLOVEV, D. V. SARYCHEV, D. V. RYJAKOV, S. N. TUGARINOV, N. N. NAUMENKO. Ion heat transport in electron cyclotron resonance heated L-mode plasma on the T-10 tokamakJ. Plasma Science and Technology, 2024, 26(4): 045101. DOI: 10.1088/2058-6272/ad0c9c
Citation: V. A. KRUPIN, M. R. NURGALIEV, A. R. NEMETS, I. A. ZEMTSOV, S. D. SUNTSOV, T. B. MYALTON, D. S. SERGEEV, N. A. SOLOVEV, D. V. SARYCHEV, D. V. RYJAKOV, S. N. TUGARINOV, N. N. NAUMENKO. Ion heat transport in electron cyclotron resonance heated L-mode plasma on the T-10 tokamakJ. Plasma Science and Technology, 2024, 26(4): 045101. DOI: 10.1088/2058-6272/ad0c9c

Ion heat transport in electron cyclotron resonance heated L-mode plasma on the T-10 tokamak

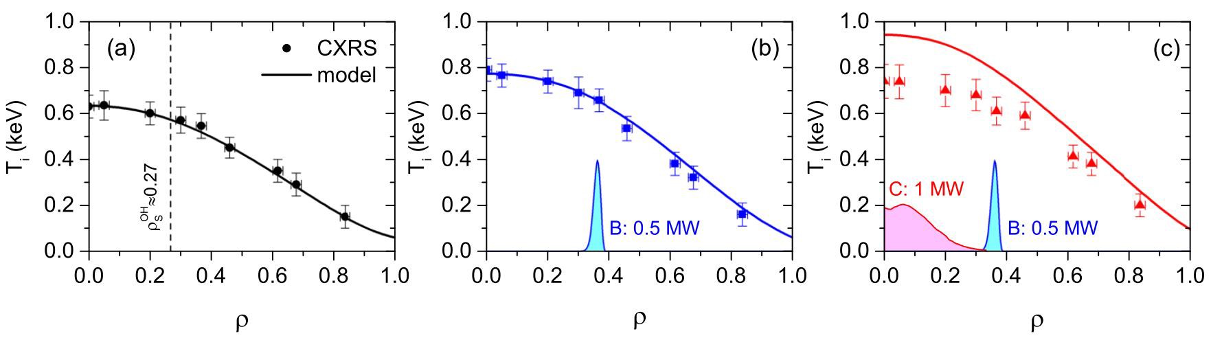
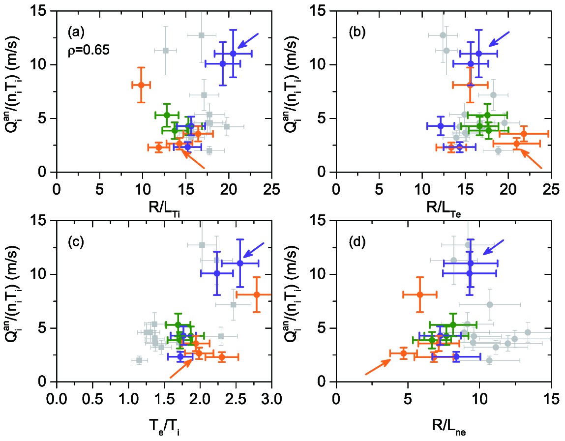
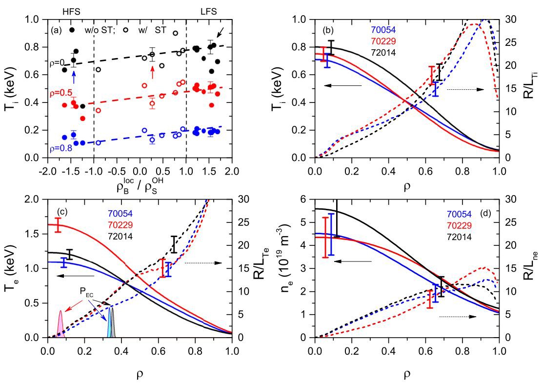
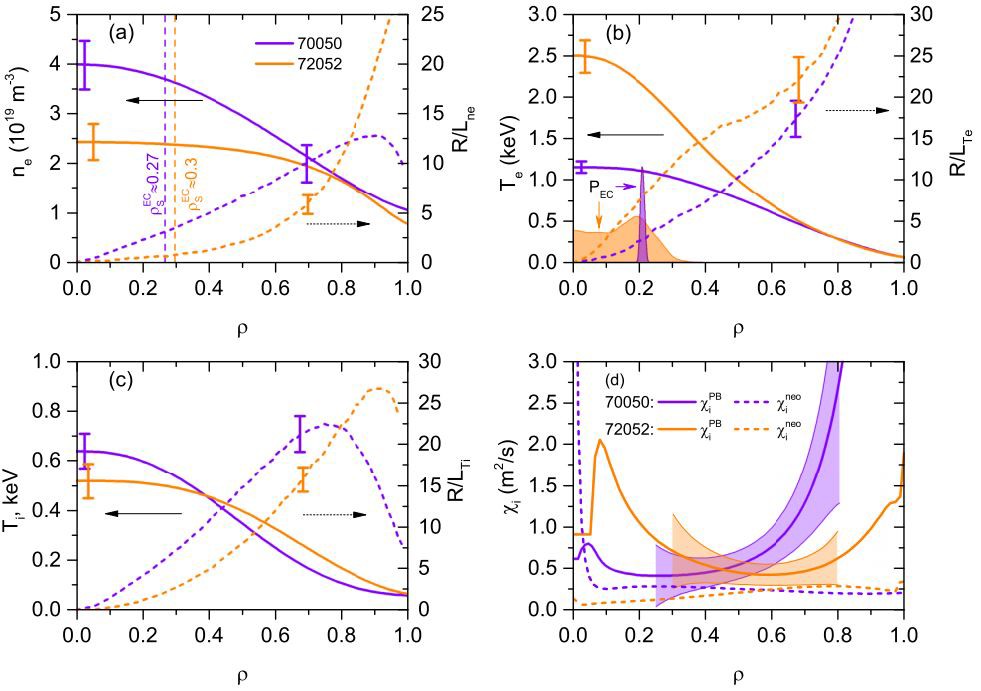
  • Anomalous ion heat transport is analyzed in the T-10 tokamak plasma heated with electron cyclotron resonance heating (ECRH) in second-harmonic extra-ordinary mode. Predictive modeling with empirical scaling for Ohmical heat conductivity shows that in ECRH plasmas the calculated ion temperature could be overestimated, so an increase of anomalous ion heat transport is required. To study this effect two scans are presented: over the EC resonance position and over the ECRH power. The EC resonance position varies from the high-field side to the low-field side by variation of the toroidal magnetic field. The scan over the heating power is presented with on-axis and mixed ECRH regimes. Discharges with high anomalous ion heat transport are obtained in all considered regimes. In these discharges the power balance ion heat conductivity exceeds the neoclassical level by up to 10 times. The high ion heat transport regimes are distinguished by three parameters: the T_\rm e/T_\rmi ratio, the normalized electron density gradient R/L_n_\rm e, and the ion–ion collisionality \nu_\rmii^\ast. The combination of high T_\rm e/T_\rmi, high \nu_\rmii^\ast, and R/L_n_\rm e=6−10 results in values of normalized anomalous ion heat fluxes up to 10 times higher than in the low transport scenario.
  • loading

Catalog

    Turn off MathJax
    Article Contents

    /

    DownLoad:  Full-Size Img  PowerPoint
    Return
    Return