Advanced Search+
Renchuan HE, Tianchao XU, Xiaoyi YANG, Chijie XIAO, Zuyu ZHANG, Ruixin YUAN, Xiaogang WANG, Zhibin GUO, Xiuming YU, Yue GE. Laboratory observation of electron energy distribution near three-dimensional magnetic nullsJ. Plasma Science and Technology, 2024, 26(3): 034007. DOI: 10.1088/2058-6272/ad0d4b
Citation: Renchuan HE, Tianchao XU, Xiaoyi YANG, Chijie XIAO, Zuyu ZHANG, Ruixin YUAN, Xiaogang WANG, Zhibin GUO, Xiuming YU, Yue GE. Laboratory observation of electron energy distribution near three-dimensional magnetic nullsJ. Plasma Science and Technology, 2024, 26(3): 034007. DOI: 10.1088/2058-6272/ad0d4b

Laboratory observation of electron energy distribution near three-dimensional magnetic nulls

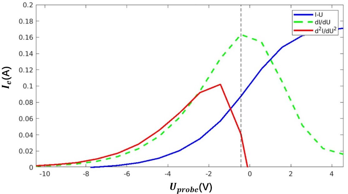
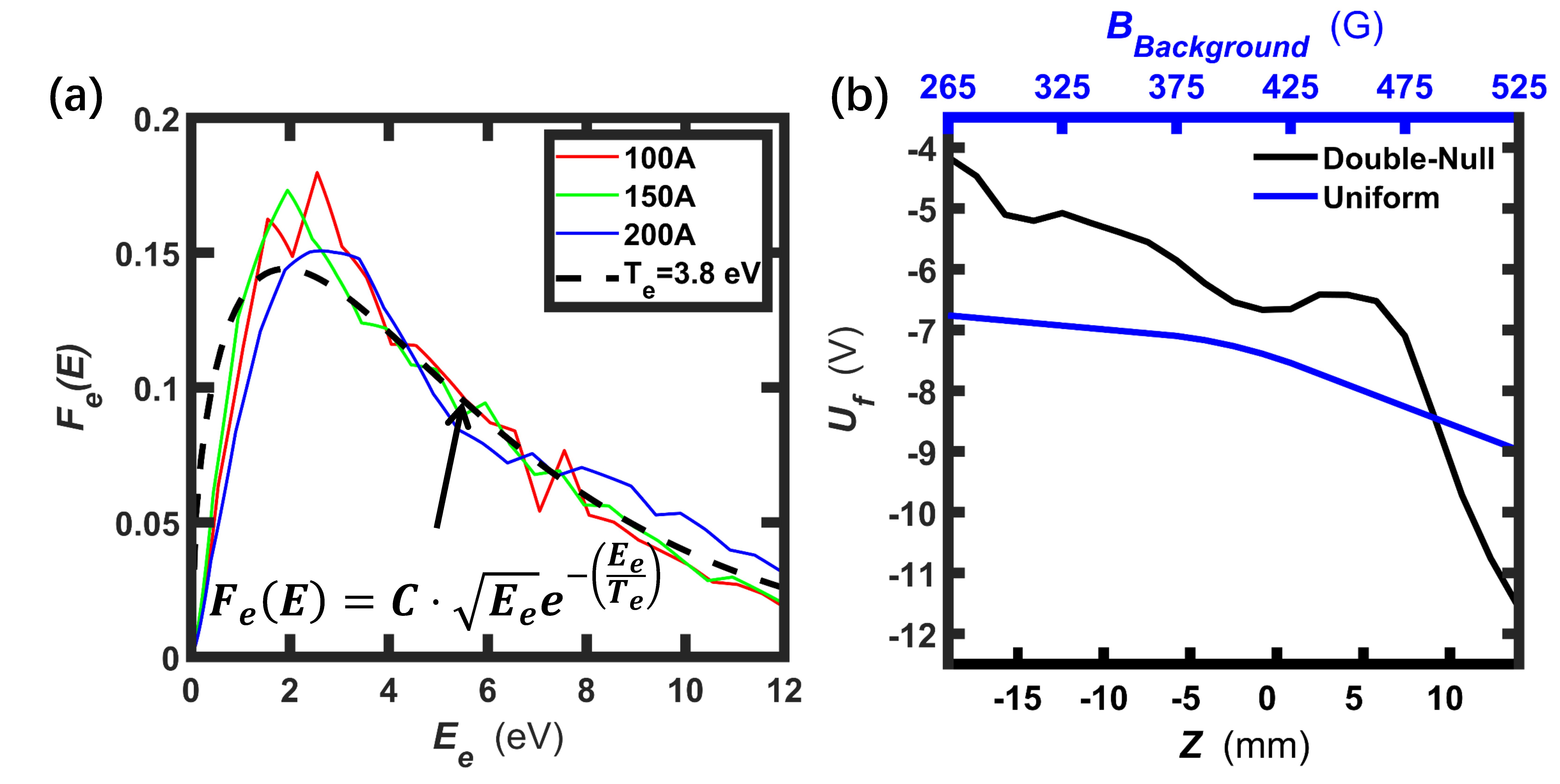
  • The acceleration of electrons near three-dimensional (3D) magnetic nulls is crucial to the energy conversion mechanism in the 3D magnetic reconnection process. To explore electron acceleration in a 3D magnetic null topology, we constructed a pair of 3D magnetic nulls in the PKU Plasma Test (PPT) device and observed acceleration of electrons near magnetic nulls. This study measured the plasma floating potential and ion density profiles around the 3D magnetic null. The potential wells near nulls may be related to the energy variations of electrons, so we measured the electron distribution functions (EDFs) at different spatial positions. The axial variation of EDF shows that the electrons deviate from the Maxwell distribution near magnetic nulls. With scanning probes that can directionally measure and theoretically analyze based on curve fitting, the variations of EDFs are linked to the changes of plasma potential under 3D magnetic null topology. The kinetic energy of electrons accelerated by the electric field is 6 eV ( v_\mathrme\sim 7v_\mathrmA\mathrml\mathrmf\mathrmv\texté\mathrmn-\mathrme ) and the scale of the region where accelerating electrons exist is in the order of serval electron skin depths.
  • loading

Catalog

    Turn off MathJax
    Article Contents

    /

    DownLoad:  Full-Size Img  PowerPoint
    Return
    Return