Advanced Search+
Kaixuan YE, Zhen ZHOU, Tao ZHANG, Jiuyang MA, Yumin WANG, Gongshun LI, Kangning GENG, Mingfu WU, Fei WEN, Jia HUANG, Yang ZHANG, Linming SHAO, Shuqi YANG, Fubin ZHONG, Shanlu GAO, Lin YU, Ziqiang ZHOU, Haoming XIANG, Xiang HAN, Shoubiao ZHANG, Guoqiang LI, Xiang GAO, the EAST Team. Experimental study of core MHD behavior and a novel algorithm for rational surface detection based on profile reflectometry in EASTJ. Plasma Science and Technology, 2024, 26(3): 034010. DOI: 10.1088/2058-6272/ad0f0a
Citation: Kaixuan YE, Zhen ZHOU, Tao ZHANG, Jiuyang MA, Yumin WANG, Gongshun LI, Kangning GENG, Mingfu WU, Fei WEN, Jia HUANG, Yang ZHANG, Linming SHAO, Shuqi YANG, Fubin ZHONG, Shanlu GAO, Lin YU, Ziqiang ZHOU, Haoming XIANG, Xiang HAN, Shoubiao ZHANG, Guoqiang LI, Xiang GAO, the EAST Team. Experimental study of core MHD behavior and a novel algorithm for rational surface detection based on profile reflectometry in EASTJ. Plasma Science and Technology, 2024, 26(3): 034010. DOI: 10.1088/2058-6272/ad0f0a

Experimental study of core MHD behavior and a novel algorithm for rational surface detection based on profile reflectometry in EAST

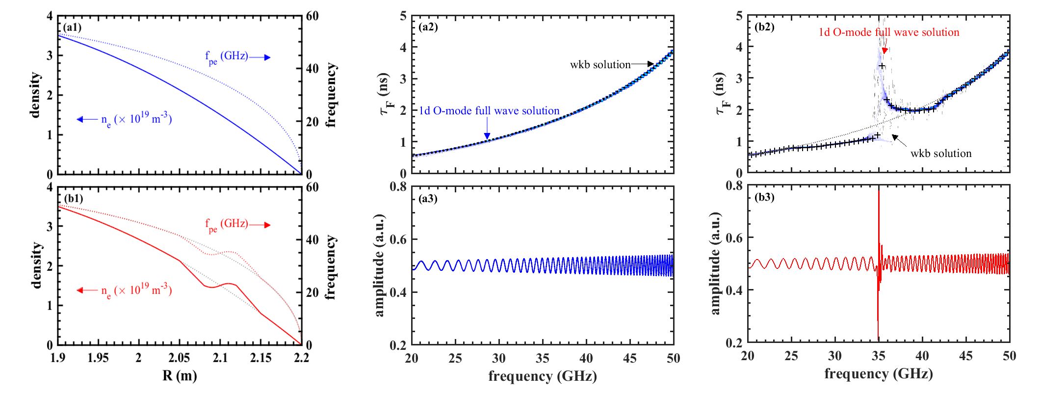
  • Microwave reflectometry is a powerful diagnostic that can measure the density profile and localized turbulence with high spatial and temporal resolution and will be used in ITER, so understanding the influence of plasma perturbations on the reflect signal is important. The characteristics of the reflect signal from profile reflectometry, the time-of-flight (TOF) signal associated with the MHD instabilities, are investigated in EAST. Using a 1D full-wave simulation code by the Finite-DifferenceTime-Domain (FDTD) method, it is well validated that the local density flattening could induce the discontinuity of the simulated TOF signal and an obvious change of reflect amplitude. Experimental TOF signals under different types of MHD instabilities (sawtooth, sawtooth precursors and tearing mode) are studied in detail and show agreement with the simulation. Two new improved algorithms for detecting and localizing the radial positions of the low-order rational surface, the cross-correlation and gradient threshold (CGT) method and the 2D convolutional neural network approach (CNN) are presented for the first time. It is concluded that TOF signal analysis from profile reflectometry can provide a straightforward and localized measurement of the plasma perturbation from the edge to the core simultaneously and may be a complement or correction to the q-profile control, which will be beneficial for the advanced tokamak operation.
  • loading

Catalog

    Turn off MathJax
    Article Contents

    /

    DownLoad:  Full-Size Img  PowerPoint
    Return
    Return