Advanced Search+
Liuliang HE, Feng HE, Jiting OUYANG. Plasma density enhancement in radio-frequency hollow electrode dischargeJ. Plasma Science and Technology, 2024, 26(4): 044003. DOI: 10.1088/2058-6272/ad273b
Citation: Liuliang HE, Feng HE, Jiting OUYANG. Plasma density enhancement in radio-frequency hollow electrode dischargeJ. Plasma Science and Technology, 2024, 26(4): 044003. DOI: 10.1088/2058-6272/ad273b

Plasma density enhancement in radio-frequency hollow electrode discharge

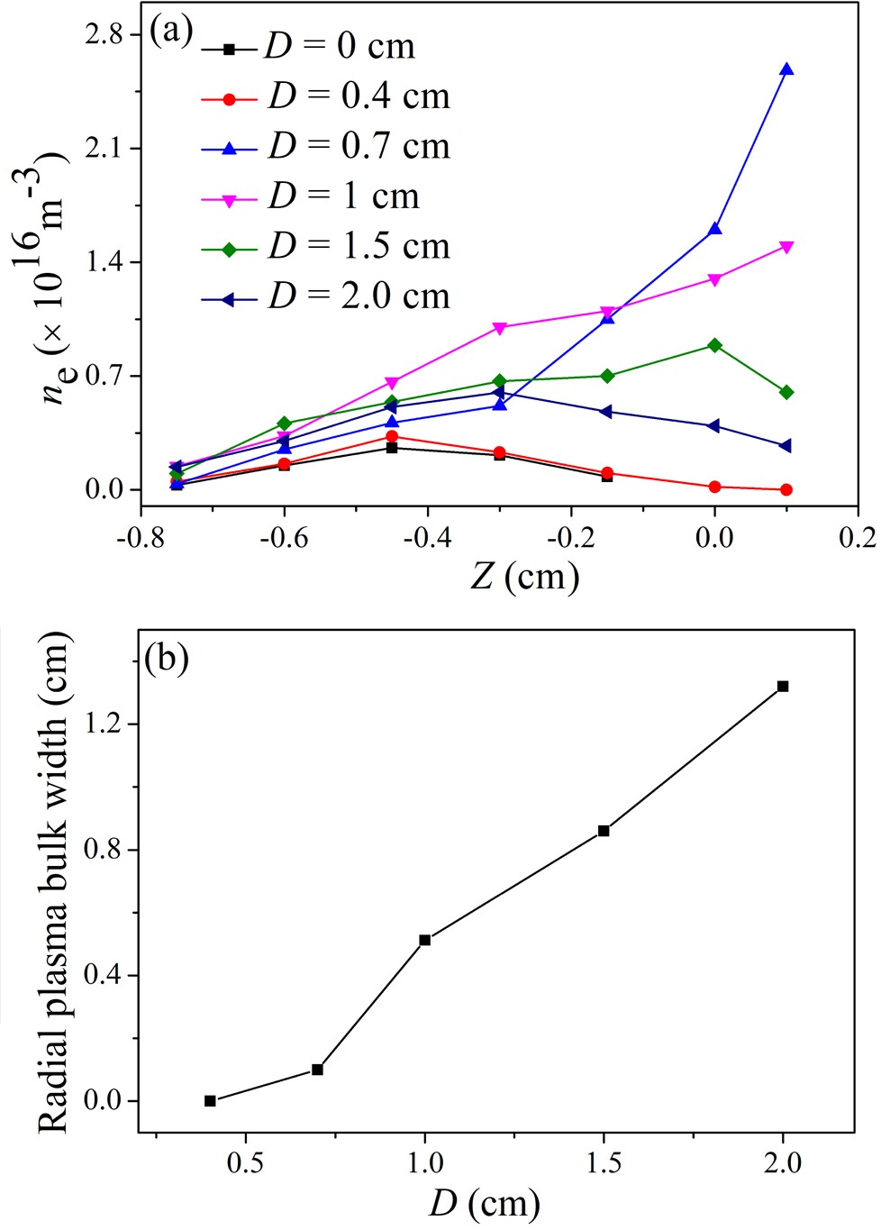
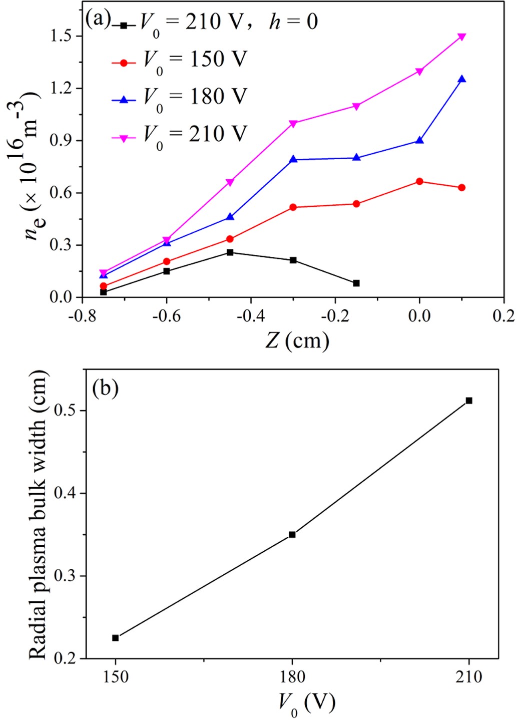
  • The plasma density enhancement outside hollow electrodes in capacitively coupled radio-frequency (RF) discharges is investigated by a two-dimensional (2D) particle-in-cell/Monte-Carlo collision (PIC/MCC) model. Results show that plasma exists inside the cavity when the sheath inside the hollow electrode hole is fully collapsed, which is an essential condition for the plasma density enhancement outside hollow electrodes. In addition, the existence of the electron density peak at the orifice is generated via the hollow cathode effect (HCE), which plays an important role in the density enhancement. It is also found that the radial width of bulk plasma at the orifice affects the magnitude of the density enhancement, and narrow radial plasma bulk width at the orifice is not beneficial to obtain high-density plasma outside hollow electrodes. Higher electron density at the orifice, combined with larger radial plasma bulk width at the orifice, causes higher electron density outside hollow electrodes. The results also imply that the HCE strength inside the cavity cannot be determined by the magnitude of the electron density outside hollow electrodes.
  • loading

Catalog

    Turn off MathJax
    Article Contents

    /

    DownLoad:  Full-Size Img  PowerPoint
    Return
    Return