Advanced Search+
Peng DENG, Wenzhe MAO, Zhipeng CHEN, Yinan ZHOU, Peng SHI, Zhoujun YANG, Li GAO, Tao LAN, Jinlin XIE, Hong LI, Zian WEI, Adi LIU, Chu ZHOU, Weixing DING, Wandong LIU, Ge ZHUANG. The impact of toroidal mode coupling on high-density discharges in J-TEXT[J]. Plasma Science and Technology, 2024, 26(12): 125101. DOI: 10.1088/2058-6272/ad659f
Citation: Peng DENG, Wenzhe MAO, Zhipeng CHEN, Yinan ZHOU, Peng SHI, Zhoujun YANG, Li GAO, Tao LAN, Jinlin XIE, Hong LI, Zian WEI, Adi LIU, Chu ZHOU, Weixing DING, Wandong LIU, Ge ZHUANG. The impact of toroidal mode coupling on high-density discharges in J-TEXT[J]. Plasma Science and Technology, 2024, 26(12): 125101. DOI: 10.1088/2058-6272/ad659f

The impact of toroidal mode coupling on high-density discharges in J-TEXT

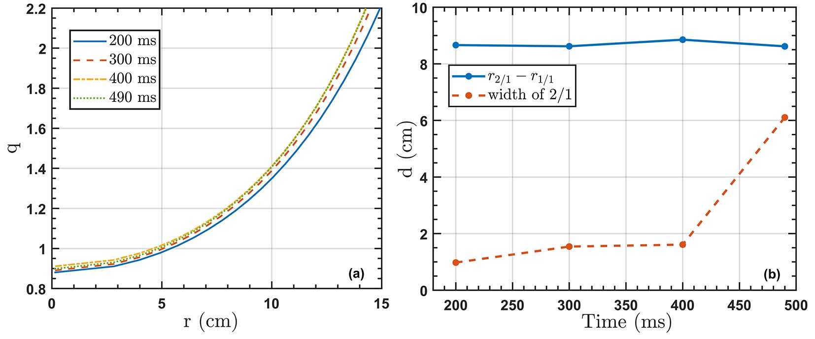
  • Density limit has long been a widely studied issue influencing the operating range of tokamaks. The rapid growth of the m/n = 2/1 (where m and n are poloidal and toroidal mode numbers, respectively) tearing mode is generally regarded as a primary precursor to the density limit disruption. In this experiment, the coupling of the m/n = 1/1 mode and the m/n = 2/1 mode in high-density plasma was observed. During a sawtooth cycle, the frequencies of the two modes gradually converge until they become equal. After that, toroidal coupling occurs between the 1/1 and 2/1 modes, resulting in a mutually fixed phase relationship. With the occurrence of toroidal coupling, the 2/1 mode is stabilized. Prior to the disruption, the cessation of the 1/1 and 2/1 mode coupling, along with the rapid growth in the amplitude of the 2/1 mode, can be observed. Additionally, under the same parameters, comparing discharges with or without the 1/1 mode, it is found that the presence of the 1/1 mode leads to higher plasma density and temperature parameters.
  • loading

Catalog

    Turn off MathJax
    Article Contents

    /

    DownLoad:  Full-Size Img  PowerPoint
    Return
    Return