Advanced Search+
Yuhua HUANG, Ke LIU, Wenzhe MAO, Caoxiang ZHU, Tao LAN, Yiming ZU, Yongkang ZHOU, Xingkang WANG, Peng DENG, Li WANG, Pai PENG, Adi LIU, Chu ZHOU, Haifeng LIU, Hong LI, Jinlin XIE, Yuhong XU, Weixing DING, Wandong LIU, Ge ZHUANG. Equilibrium reconstruction method for self-organized plasmas on reversed field pinches with polarimeter-interferometer[J]. Plasma Science and Technology, 2024, 26(12): 125104. DOI: 10.1088/2058-6272/ad79b0
Citation: Yuhua HUANG, Ke LIU, Wenzhe MAO, Caoxiang ZHU, Tao LAN, Yiming ZU, Yongkang ZHOU, Xingkang WANG, Peng DENG, Li WANG, Pai PENG, Adi LIU, Chu ZHOU, Haifeng LIU, Hong LI, Jinlin XIE, Yuhong XU, Weixing DING, Wandong LIU, Ge ZHUANG. Equilibrium reconstruction method for self-organized plasmas on reversed field pinches with polarimeter-interferometer[J]. Plasma Science and Technology, 2024, 26(12): 125104. DOI: 10.1088/2058-6272/ad79b0

Equilibrium reconstruction method for self-organized plasmas on reversed field pinches with polarimeter-interferometer

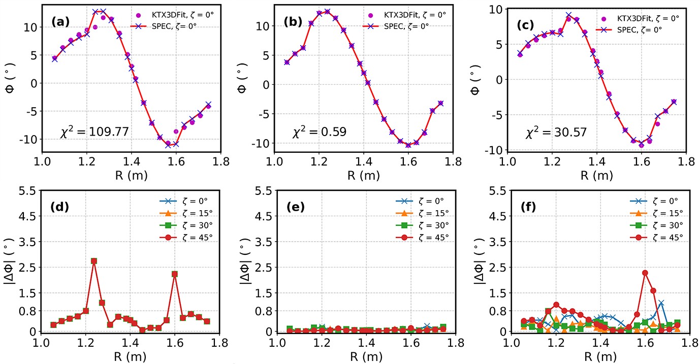
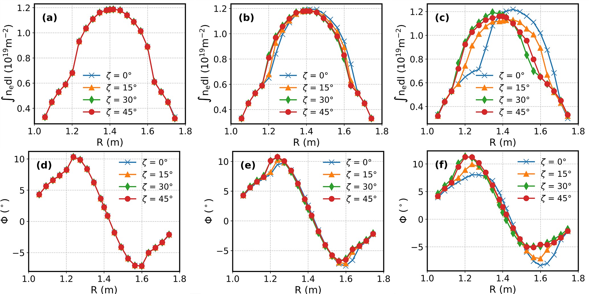
  • In the reversed field pinch (RFP), plasmas exhibit various self-organized states. Among these, the three-dimensional (3D) helical state known as the “quasi-single-helical” (QSH) state enhances RFP confinement. However, accurately describing the equilibrium is challenging due to the presence of 3D structures, magnetic islands, and chaotic regions. It is difficult to obtain a balance between the available diagnostic and the real equilibrium structure. To address this issue, we introduce KTX3DFit, a new 3D equilibrium reconstruction code specifically designed for the Keda Torus eXperiment (KTX) RFP. KTX3DFit utilizes the stepped-pressure equilibrium code (SPEC) to compute 3D equilibria and uses polarimetric interferometer signals from experiments. KTX3DFit is able to reconstruct equilibria in various states, including axisymmetric, double-axis helical (DAx), and single-helical-axis (SHAx) states. Notably, this study marks the first integration of the SPEC code with internal magnetic field data for equilibrium reconstruction and could be used for other 3D configurations.
  • loading

Catalog

    Turn off MathJax
    Article Contents

    /

    DownLoad:  Full-Size Img  PowerPoint
    Return
    Return