Advanced Search+
Weijian QIN, Jiacheng YING, Yichi ZHANG, Yutao CHEN, Jingran WEN, Baoming REN, Xuan SUN. Central-cell injection of compact toroid in KMAXJ. Plasma Science and Technology, 2025, 27(4): 044013. DOI: 10.1088/2058-6272/adbe9f
Citation: Weijian QIN, Jiacheng YING, Yichi ZHANG, Yutao CHEN, Jingran WEN, Baoming REN, Xuan SUN. Central-cell injection of compact toroid in KMAXJ. Plasma Science and Technology, 2025, 27(4): 044013. DOI: 10.1088/2058-6272/adbe9f

Central-cell injection of compact toroid in KMAX

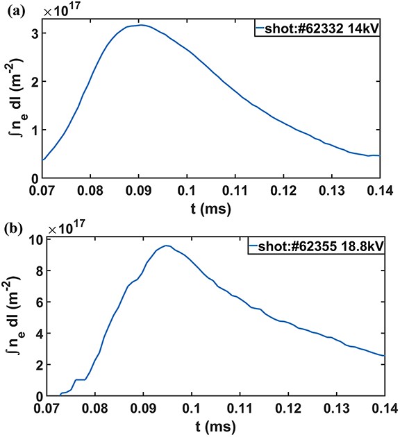
  • A new method for directly injecting plasma into the central cell of the Keda Mirror with AXisymmetricity (KMAX) device by using a compact toroid (CT) has been developed. This radial injection approach overcomes the limitations of conventional plasma initiation methods, which typically rely on injecting plasma from one or both ends in a magnetic mirror configuration. The radial injection method aims to produce high-density plasma and facilitate studies of mirror-confined plasma. This paper presents its latest results and provides a detailed description of the injection system design. Our findings confirm the theoretical prediction that the injected plasma must achieve sufficient speed to penetrate the magnetic field and reach the chamber’s center. Experimental observations show that, at medium voltage, the plasmoid may linger near the chamber edge, marking the first experimental identification of the conditions required for plasma penetration.
  • loading

Catalog

    Turn off MathJax
    Article Contents

    /

    DownLoad:  Full-Size Img  PowerPoint
    Return
    Return