Advanced Search+
Lili DONG, Mingyuan WANG, Wenjun LIU, Yuejiang SHI, Jiaqi DONG, Dong GUO, Tiantian SUN, Xiang GU, Xianming SONG, Baoshan YUAN, Yueng-Kay Martin PENG, the ENN Team. Experimental confirmation of the linear relation between plasma current and external vertical magnetic field in EXL-50 spherical torus energetic electron plasmas[J]. Plasma Science and Technology, 2024, 26(8): 085104. DOI: 10.1088/2058-6272/ad4f23
Citation: Lili DONG, Mingyuan WANG, Wenjun LIU, Yuejiang SHI, Jiaqi DONG, Dong GUO, Tiantian SUN, Xiang GU, Xianming SONG, Baoshan YUAN, Yueng-Kay Martin PENG, the ENN Team. Experimental confirmation of the linear relation between plasma current and external vertical magnetic field in EXL-50 spherical torus energetic electron plasmas[J]. Plasma Science and Technology, 2024, 26(8): 085104. DOI: 10.1088/2058-6272/ad4f23

Experimental confirmation of the linear relation between plasma current and external vertical magnetic field in EXL-50 spherical torus energetic electron plasmas

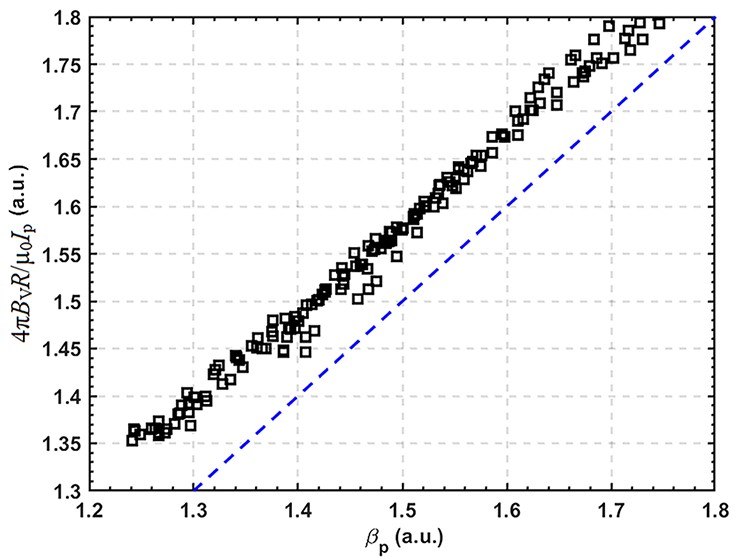
  • A three-fluid equilibrium plasma with bulk plasma and energetic electrons has been observed on the Xuanlong-50 (EXL-50) spherical torus, where the energetic electrons play a crucial role in sustaining the plasma current and pressure. In this study, the equilibrium of a multi-fluid plasma was investigated by analyzing the relationship between the external vertical magnetic field (BV), plasma current (Ip), the poloidal ratio (βp) and the Shafranov formula. Remarkably, our research demonstrates some validity of the Shafranov formula in the presence of multi-fluid plasma in EXL-50 spherical torus. This finding holds significant importance for future reactors as it allows for differentiation between alpha particles and background plasma. The study of multi-fluid plasma provides a significant reference value for the equilibrium reconstruction of burning plasma involving alpha particles.
  • loading

Catalog

    Turn off MathJax
    Article Contents

    /

    DownLoad:  Full-Size Img  PowerPoint
    Return
    Return