Advanced Search+
Guangyin ZHAO, Chang WANG, Yongdong YANG, Guoqiang LI, Zheyu SHI. Rotor performance enhancement by alternating current dielectric barrier discharge plasma actuationJ. Plasma Science and Technology, 2023, 25(1): 015506. DOI: 10.1088/2058-6272/ac803a
Citation: Guangyin ZHAO, Chang WANG, Yongdong YANG, Guoqiang LI, Zheyu SHI. Rotor performance enhancement by alternating current dielectric barrier discharge plasma actuationJ. Plasma Science and Technology, 2023, 25(1): 015506. DOI: 10.1088/2058-6272/ac803a

Rotor performance enhancement by alternating current dielectric barrier discharge plasma actuation

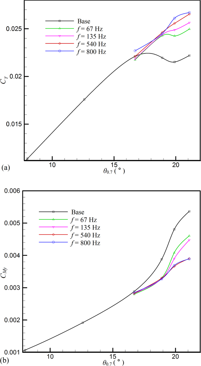
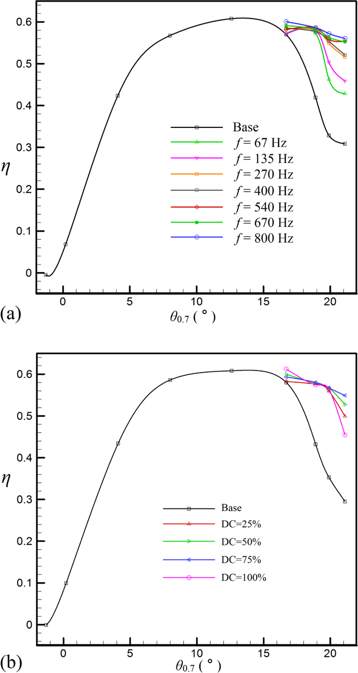
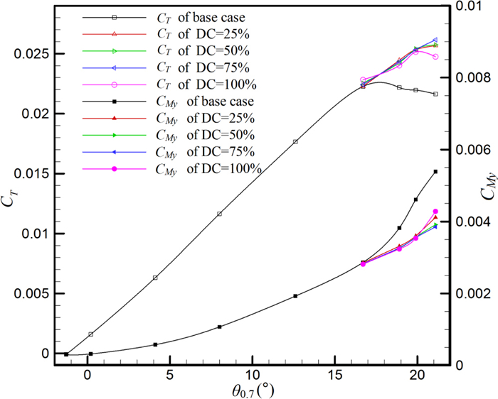
  • An experimental system was established to explore the plasma flow control effect for helicopter rotors in hover mode. With the plasma actuator applied at the leading edge of the rotor blades, alternating current dielectric barrier discharge (AC-DBD) plasma actuation was generated by a sinusoidal AC high-voltage generator. By direct force measurement, the influence of actuation parameters on the aerodynamic performance of the rotor was investigated at a tip Reynolds number of 1.7 × 105. AC-DBD actuation can delay the blade stall to more than 3° with a 20% increase of about in the thrust coefficient at the post-stall pitch. At a constant motor power driving the rotor, AC-DBD actuation could reduce the rotor's torque at the stalled pitch and increase the rotational speed of the rotor. Also, AC-DBD actuation could maintain a relatively high hover efficiency of the rotor at large collective pitches. In a wide range of actuation parameters, AC-DBD plasma actuation could improve the rotor's aerodynamic performance at large blade pitches. High-speed photography of the tuft motion on the blade's upper surface showed that AC-DBD plasma actuation could promote the reattachment of the blade's separation flow.
  • loading

Catalog

    Turn off MathJax
    Article Contents

    /

    DownLoad:  Full-Size Img  PowerPoint
    Return
    Return