Advanced Search+
Xu ZHOU, Xianhui CHEN, Taohong YE, Minming ZHU, Weidong XIA. Quasi-direct numerical simulations of the flow characteristics of a thermal plasma reactor with counterflow jetJ. Plasma Science and Technology, 2023, 25(7): 075403. DOI: 10.1088/2058-6272/acb9d8
Citation: Xu ZHOU, Xianhui CHEN, Taohong YE, Minming ZHU, Weidong XIA. Quasi-direct numerical simulations of the flow characteristics of a thermal plasma reactor with counterflow jetJ. Plasma Science and Technology, 2023, 25(7): 075403. DOI: 10.1088/2058-6272/acb9d8

Quasi-direct numerical simulations of the flow characteristics of a thermal plasma reactor with counterflow jet

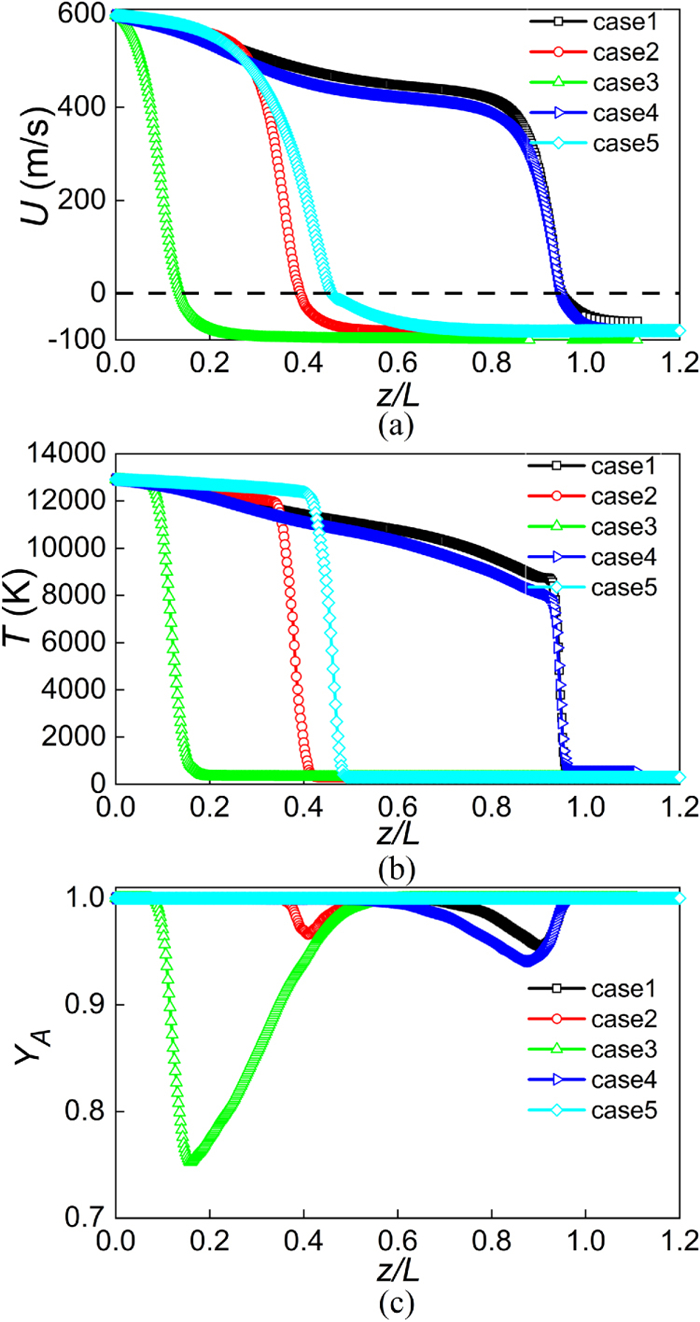
  • Three-dimensional quasi-direct numerical simulations have been performed to investigate a thermal plasma reactor with a counterflow jet. The effects of the momentum flux ratio and distance between the counterflow jet and the thermal plasma jet on the flow characteristics are addressed. The numerical results show that the dimensionless location of the stagnation layer is significantly affected by the momentum flux ratio, but it is not dependent on the distance. Specifically, the stagnation layer is closer to the plasma torch outlet with the increase of the momentum flux ratio. Furthermore, the flow regimes of the stagnation layer and the flow characteristics of the thermal plasma jet are closely related to the momentum flux ratio. The characteristic frequencies associated with the different regimes are identified. The deflecting oscillation flow regimes are found when the momentum flux ratio is low, which provokes axial velocity fluctuations inside the thermal plasma jet. By contrast, for cases with a high momentum flux ratio, flapping flow regimes are distinguished. The thermal plasma jets are very stable and the axial velocity fluctuations mainly exist in the stagnation layer.
  • loading

Catalog

    Turn off MathJax
    Article Contents

    /

    DownLoad:  Full-Size Img  PowerPoint
    Return
    Return