Advanced Search+
Huasheng XIE, Xiang GU, Yumin WANG, Quanyun WANG, Feng WANG, Haozhe KONG, Jiaqi DONG, Yunfeng LIANG, Yueng-Kay Martin PENG, Minsheng LIU, the EHL-2 Team. Preliminary considerations and challenges of proton-boron fusion energy extraction on the EHL-2 spherical torus[J]. Plasma Science and Technology, 2025, 27(2): 024010. DOI: 10.1088/2058-6272/adae43
Citation: Huasheng XIE, Xiang GU, Yumin WANG, Quanyun WANG, Feng WANG, Haozhe KONG, Jiaqi DONG, Yunfeng LIANG, Yueng-Kay Martin PENG, Minsheng LIU, the EHL-2 Team. Preliminary considerations and challenges of proton-boron fusion energy extraction on the EHL-2 spherical torus[J]. Plasma Science and Technology, 2025, 27(2): 024010. DOI: 10.1088/2058-6272/adae43

Preliminary considerations and challenges of proton-boron fusion energy extraction on the EHL-2 spherical torus

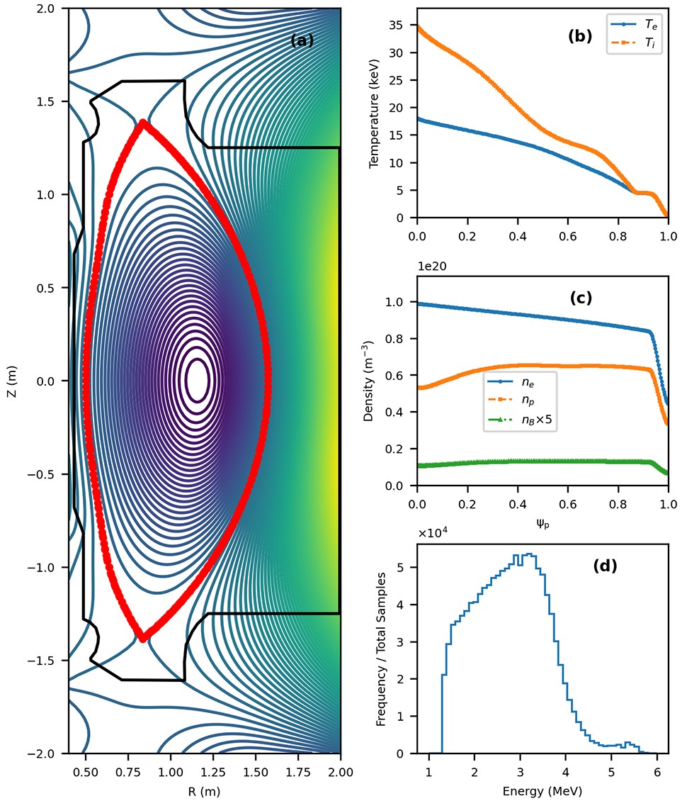
  • EHL-2 spherical torus (ST) is one of the key steps of p-11B (proton-boron or hydrogen-boron) fusion energy research in ENN. The fusion produced energy is carried mainly by alpha particles of average energy 3 MeV, which ideally can be converted to electricity with high efficiency (> 80%). However, there exist serious difficulties to realize such conversion in a fusion device, due to the high energy density and high voltage required. To comprehensively describe the progress of the EHL-2 physics design, this work presents preliminary considerations of approaches for achieving energy conversion, highlighting critical issues for further investigation. Specifically, we provide an initial simulation of alpha particle extraction in the EHL-2 ST configuration as a starting point for p-11B fusion energy conversion.
  • loading

Catalog

    Turn off MathJax
    Article Contents

    /

    DownLoad:  Full-Size Img  PowerPoint
    Return
    Return