Advanced Search+
Yilin LI, Hui LIAO, Haiyang ZHOU, Xuan SUN. A numerical survey of parameters to reach ignition condition for axial compression of a large-sized field reversed configuration[J]. Plasma Science and Technology, 2024, 26(5): 055104. DOI: 10.1088/2058-6272/ad1c38
Citation: Yilin LI, Hui LIAO, Haiyang ZHOU, Xuan SUN. A numerical survey of parameters to reach ignition condition for axial compression of a large-sized field reversed configuration[J]. Plasma Science and Technology, 2024, 26(5): 055104. DOI: 10.1088/2058-6272/ad1c38

A numerical survey of parameters to reach ignition condition for axial compression of a large-sized field reversed configuration

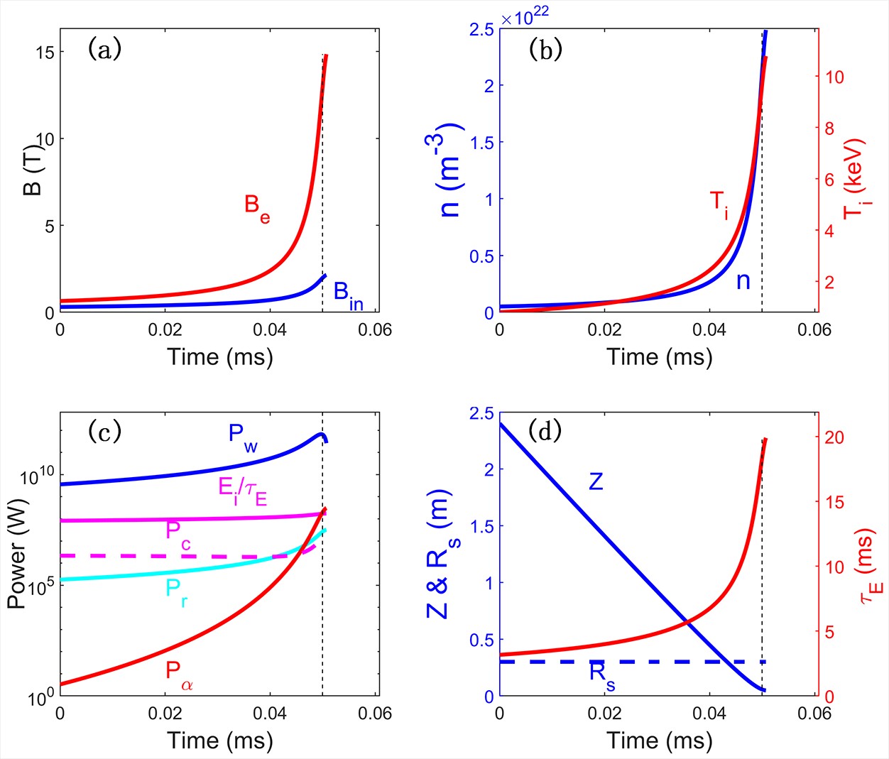
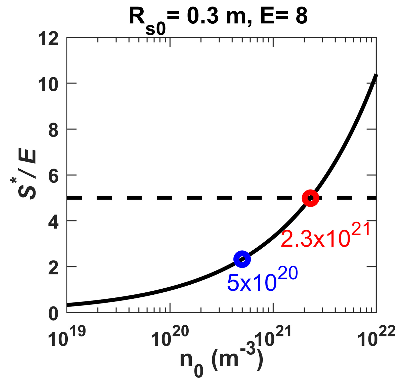
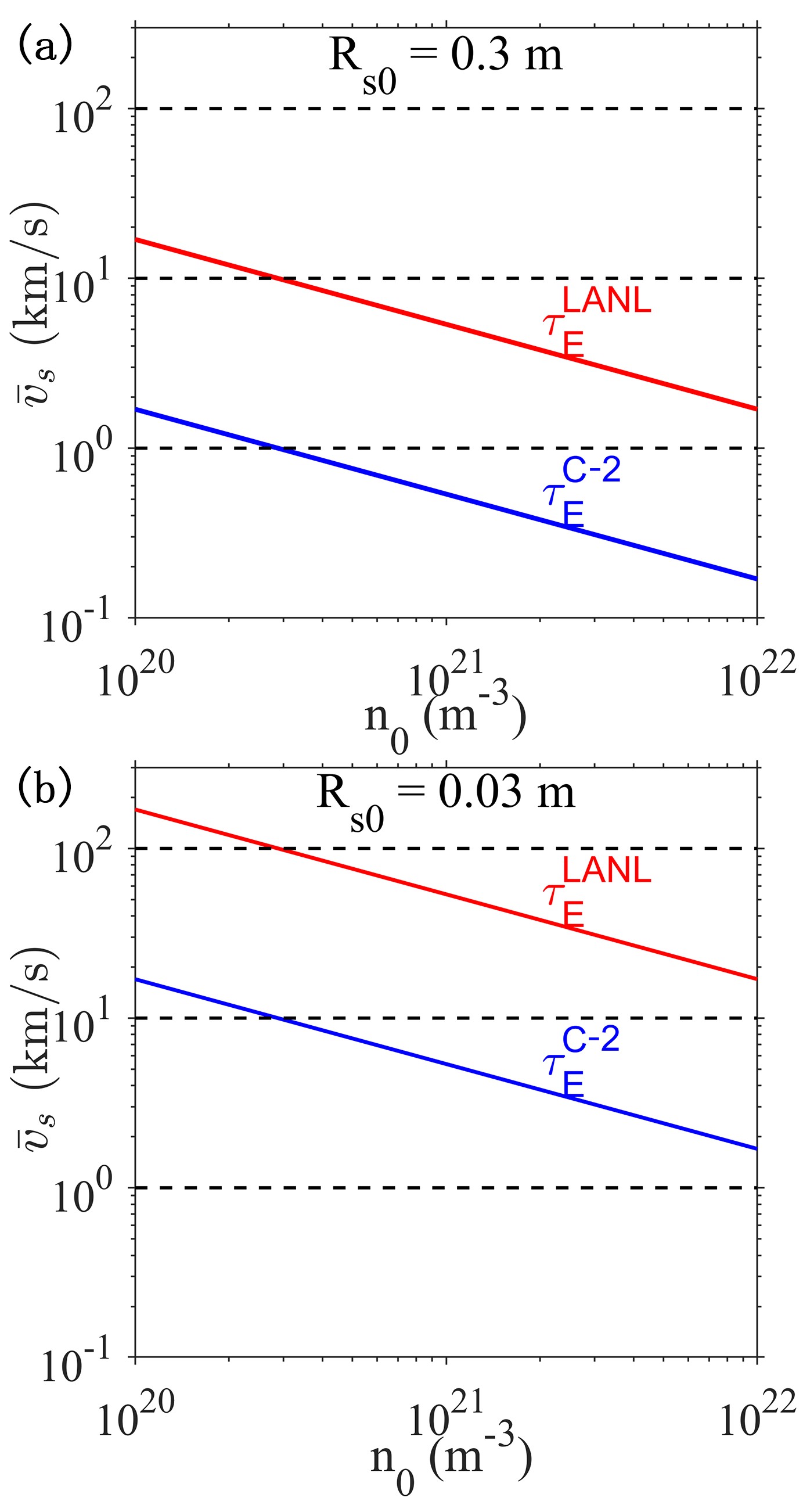
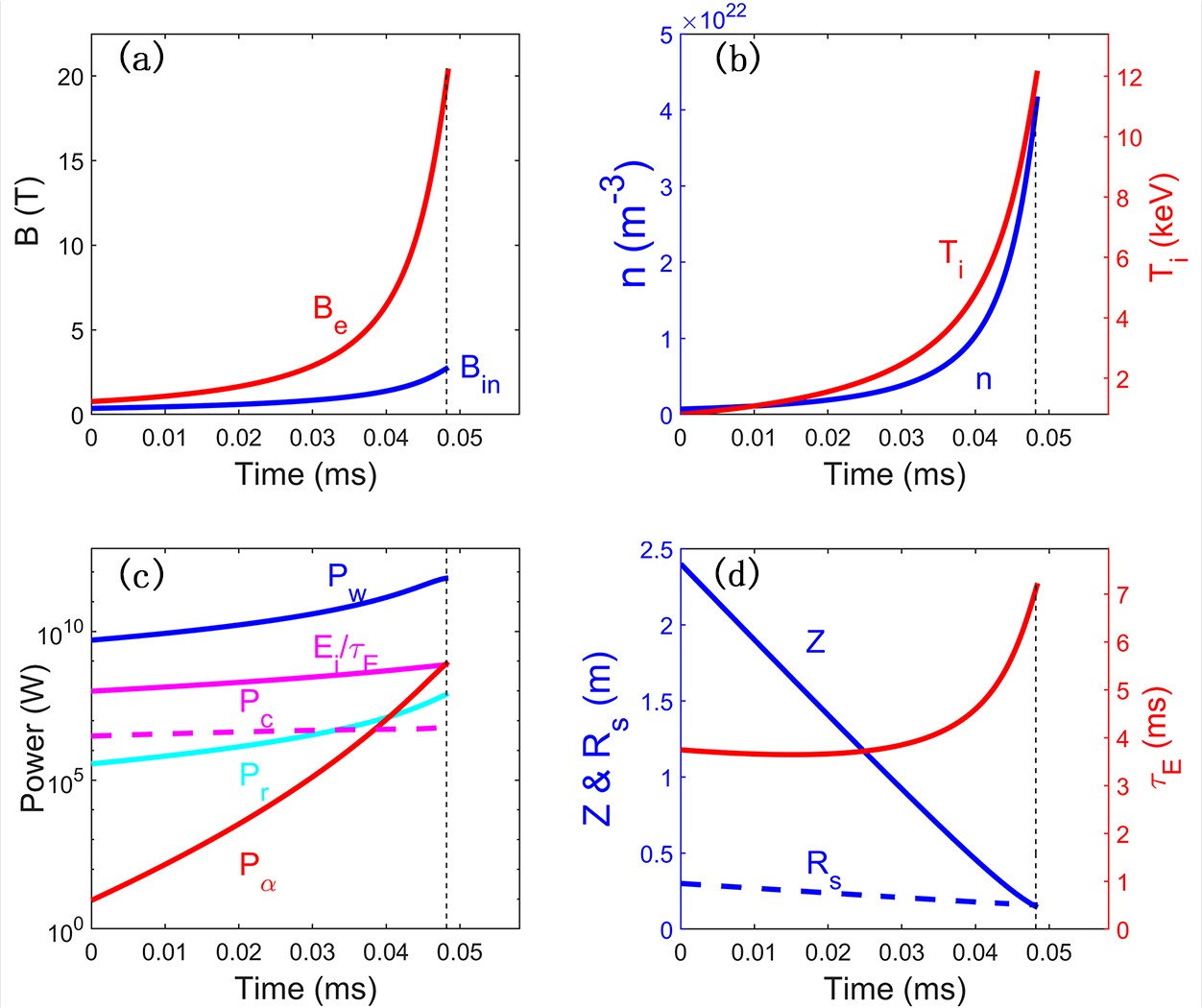
  • Field reversed configuration (FRC) is widely considered as an ideal target plasma for magneto-inertial fusion. However, its confinement and stability, both proportional to the radius, will deteriorate inevitably during radial compression. Hence, we propose a new fusion approach based on axial compression of a large-sized FRC. The axial compression can be made by plasma jets or plasmoids converging onto the axial ends of the FRC. The parameter space that can reach the ignition condition while preserving the FRC’s overall quality is studied using a numerical model based on different FRC confinement scalings. It is found that ignition is possible for a large FRC that can be achieved with the current FRC formation techniques if compression ratio is greater than 50. A more realistic compression is to combine axial with moderate radial compression, which is also presented and calculated in this work.
  • loading

Catalog

    Turn off MathJax
    Article Contents

    /

    DownLoad:  Full-Size Img  PowerPoint
    Return
    Return