Advanced Search+
Kuan QIAO, Mousen CHENG, Fan ZHANG, Xiong YANG, Dawei GUO, Yuntian YANG, Zhenwei DING. Numerical simulation and performance analysis of the radiofrequency inductive cathodeJ. Plasma Science and Technology, 2023, 25(2): 025504. DOI: 10.1088/2058-6272/ac8dd7
Citation: Kuan QIAO, Mousen CHENG, Fan ZHANG, Xiong YANG, Dawei GUO, Yuntian YANG, Zhenwei DING. Numerical simulation and performance analysis of the radiofrequency inductive cathodeJ. Plasma Science and Technology, 2023, 25(2): 025504. DOI: 10.1088/2058-6272/ac8dd7

Numerical simulation and performance analysis of the radiofrequency inductive cathode

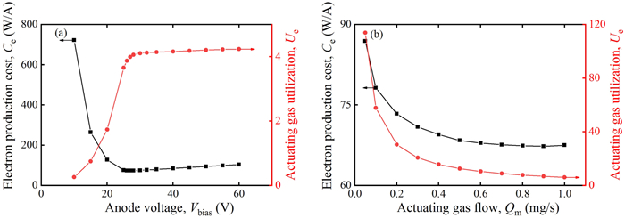
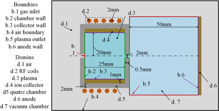
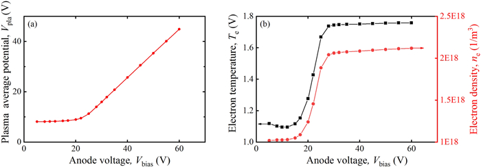
  • The radiofrequency (RF) inductive cathode has great prospects in space missions with long mission cycles, large speed increments, and rapid response requirements as the main electron source and neutralizer in Hall thrusters and ion thrusters. This paper proposes a comprehensive multi-physics RF inductive cathode model in which the RF electromagnetic field, electrostatic field for extracting electrons, flow field, plasma transport and electrochemical reaction process are all accounted for. Each physical field mentioned above can form a closed partial differential equation. The two-dimensional finite element code COMSOL is used to solve the multi-physics model. With this model, the formation process of the anode spot is exhibited and demonstrates the non-bipolar flow theory in practice. The simulation results demonstrate that the current jump in the RF inductive cathode is caused by the anode spot. Furthermore, the influences of preset discharge parameters such as RF power, bias voltage and actuating gas flow as well as structural parameters like the coil structure, discharge chamber size and ion collector area, emission hole size, distance between the anode target and the emission hole etc on the cathode performance are investigated, and some important optimal parameters are proposed.
  • loading

Catalog

    Turn off MathJax
    Article Contents

    /

    DownLoad:  Full-Size Img  PowerPoint
    Return
    Return